УЛСЫН ГАЗАР ЗОХИОН БАЙГУУЛАЛТЫН ЕРӨНХИЙ ТӨЛӨВЛӨГӨӨ
Улсын газар зохион байгуулалтын ерөнхий төлөвлөгөө гэж Монгол Улсын нутаг дэвсгэрийн хэмжээнд байгаль, газар зүйн нөхцөл, газрын нөөц, түүний экологи, эдийн засаг, орон зайн багтаамж, чадавхид зохицсон газрын менежментийн бодлогоор улс орны нийгэм, эдийн засгийг хөгжүүлэх 16-20 жилийн хэтийн чиглэлийн баримжаатай зураг төслийн баримт бичгийг хэлнэ.
Монгол Улсын Засгийн газрын 2003 оны 12 дугаар сарын 24-ний өдрийн 264 дүгээр тогтоолоор “Улсын газар зохион байгуулалтын ерөнхий төлөвлөгөө”-г анх баталж байсан бөгөөд 2016-2018 оны хооронд шинэчлэн боловсруулж, Засгийн газрын 2018 оны 384 дүгээр тогтоолоор батлуулсан байна.
ГАЗАР ӨМЧЛӨЛИЙН ТАЛААР:
“Монгол Улсын иргэнд 2024 онд өмчлүүлэх газрын нийт хэмжээ, байршил, зориулалтыг тогтоох тухай”Засгийн газрын 137 дугаар тогтоолын хэрэгжилт:
Монгол Улсын Засгийн газрын 2024 оны 137 дугаар тогтоолоор улсын хэмжээнд нийт 9549 иргэнд 1213.96 га газрыг өмчлүүлэхээр батлагдсанаас нийт 4359 иргэнд 586.50 га газрыг өмчлүүлсэн байна. Тогтоолын хэрэгжилт 45.6 хувьтай байна.
Үүнээс нийт 4348 иргэнд 585.10 га газрыг гэр бүлийн хэрэгцээний зориулалтаар үнэгүй, нийт 11 иргэнд 1.40 га газрыг аж ахуйн зориулалтаар үнээр нь тус тус өмчлүүлсэн байна.
Харин нийслэлийн хэмжээнд нийт 1806 иргэнд эзэмшиж байгаа 104.23га газрыг нь өмчлүүлсэн байна.
Гэр бүлийн хэрэгцээний зориулалтаар үнэгүй өмчлүүлсэн газрыг дэлгэрэнгүй авч үзвэл нийт 1605 иргэнд шинээр 160.62 га, нийт 2192 иргэнд одоо эзэмшиж байгаа 148.98 га газрыг өмчлүүлсэн бөгөөд Хөшигийн хөндийн тусгай хэрэгцээний газартай давхацсан Төв аймгийн Алтанбулаг сумын нийт 551 иргэнд 275. 5 га газрыг нөхөх олговортойгоор сольж өмчлүүлсэн байна.
График 1. Монгол Улсын Засгийн газрын 2024 оны 137 дугаар тогтоолын хэрэгжилт
График 2. 2024 онд иргэнд гэр бүлийн хэрэгцээний зориулалтаар болон аж ахуйн зориулалтаар өмчлүүлсэн газрын хэмжээ /га-аар/
АЙМАГ, НИЙСЛЭЛИЙН ГАЗАР ЗОХИОН БАЙГУУЛАЛТЫН
ЕРӨНХИЙ ТӨЛӨВЛӨГӨӨ
Аймаг, нийслэлийн газар зохион байгуулалтын ерөнхий төлөвлөгөө нь нутаг дэвсгэрийнхээ хэмжээнд байгаль, газар зүйн нөхцөл, газрын нөөц, түүний экологи, эдийн засаг, орон зайн багтаамж, чадавхид зохицсон газрын менежментийн бодлогоор аймаг, нийслэлийн нийгэм, эдийн засгийг хөгжүүлэх, баримталж буй хэтийн бодлогыг газрын нөөцийн төлөвлөлтөөр дэмжин тогтвортой хөгжүүлэх 12-16 жилийн хугацаанд хэрэгжүүлэх урт хугацааны бодлогын баримт бичиг юм.
Одоогийн байдлаар улсын хэмжээнд нийслэл болон 19 аймгийн газар зохион байгуулалтын ерөнхий төлөвлөгөө хэрэгжиж байна.
Харин Увс аймаг газар зохион байгуулалтын ерөнхий төлөвлөгөөндөө тодотгол хийх шаардлагатай, Хөвсгөл, Өвөрхангай аймгийн төлөвлөгөөг 2025 онд боловсруулахаар төлөвлөсөн ба Дорноговь, Ховд, Говьсүмбэр аймгуудын төлөвлөгөө боловсруулагдаж байна.
Аймаг, нийслэлийн газар зохион байгуулалтын ерөнхий төлөвлөгөө боловсруулсан байдал
СУМЫН НУТАГ ДЭВСГЭРИЙН ХӨГЖЛИЙН ТӨЛӨВЛӨГӨӨ
Сумын нутаг дэвсгэрийн хөгжлийн төлөвлөгөө нь аймгийн газар зохион байгуулалтын ерөнхий төлөвлөгөөнд нийцсэн сумын газар, байгалийн нөхцөл, нөөц, нийгэм, эдийн засгийн хэрэгцээ, орон нутгийн онцлог, уламжлалын дагуу олон төрөлт, тогтвортой газар ашиглалтыг хөгжүүлэх 5-7 жилийн хугацаанд хэрэгжүүлэх газар зохион байгуулалтын төлөвлөлтийн баримт бичиг байна.
Улсын хэмжээнд төлөвлөгөө боловсруулж хэрэгжүүлж байгаа 181 сум, 2025 онд төлөвлөгөө боловсруулах 72 сум, төлөвлөгөө боловсруулах шаардлагатай 68 сум байна.
Сумын нутаг дэвсгэрийн хөгжлийн төлөвлөгөө боловсруулсан байдал
ГАЗАР ЗОХИОН БАЙГУУЛАЛТ, ХОТ ТӨЛӨВЛӨЛТИЙН
ЦАХИМ СИСТЕМ
“Газар зохион байгуулалт, хот төлөвлөлтийн цахим систем” нь газар зохион байгуулалт, хот байгуулалтын баримт бичиг боловсруулах, хэрэгжүүлэх, хяналт тавих болон төлөвлөгөөнд иргэд, олон нийтийн оролцоог хангах, хилийн цэсийн мэдээллийн санг эрхлэх үйл ажиллагааг цахим хэлбэрээр зохион байгуулах программ хангамж бүхий цогц үйл ажиллагааг юм.
|
цахим системд бүртгэгдсэн төлөвлөгөөний ТӨРӨЛ |
үүсгэсэн төcлийн тоо |
БАТЛАГДСАН төслийн тоо |
|
Улсын газар зохион байгуулалтын ерөнхий төлөвлөгөө |
2 |
1 |
|
Аймгийн газар зохион байгуулалтын ерөнхий төлөвлөгөө |
44 |
24 |
|
Нийслэлийн газар зохион байгуулалтын ерөнхий төлөвлөгөө |
1 |
0 |
|
Нийслэлийн газар зохион байгуулалтын тухайн жилийн төлөвлөгөө |
12 |
9 |
|
Дүүргийн тухайн жилийн газар зохион байгуулалтын төлөвлөгөө |
65 |
59 |
|
Сумын нутаг дэвсгэрийн хөгжлийн төлөвлөгөө |
207 |
99 |
|
Сумын тухайн жилийн газар зохион байгуулалтын төлөвлөгөө |
1937 |
1751 |
|
Хилийн боомтын хөгжлийн ерөнхий төлөвлөгөө |
5 |
0 |
|
Хотын хөгжлийн ерөнхий төлөвлөгөө |
226 |
7 |
|
Хэсэгчилсэн ерөнхий төлөвлөгөө |
43 |
3 |
|
Сум, дүүргийн газар зохион байгуулалтын тухайн жилийн төлөвлөгөөний тодотгол |
771 |
583 |
|
Иргэнд өмчлүүлэх газрын хэмжээ, байршил, зориулалтын санал |
54 |
30 |
|
Чөлөөт бүсийн хөгжлийн ерөнхий төлөвлөгөө |
4 |
0 |
|
Улсын тусгай хэрэгцээний газар |
2 |
0 |
|
Хамгаалалтын бүс, зурвас газрууд |
24 |
0 |
|
Тусгай хамгаалалттай газрын газар зохион байгуулалтын төлөвлөгөө |
11 |
1 |
|
Аймгийн төвийн сумын хөгжлийн ерөнхий төлөвлөгөө |
10 |
3 |
|
Чөлөөт бүсийн газар зохион байгуулалт |
7 |
4 |
|
Ашигт малтмалын тусгай зөвшөөрлийн кадастр |
1 |
0 |
|
Улсын хэмжээний хамгаалалтын зурвас газрууд |
1 |
1 |
|
Хот, суурин газрыг дахин хөгжүүлэх төсөл |
14 |
4 |
|
Газар нутгийг УТХАГЗБ-ын улсын төлөвлөлт |
1 |
0 |
|
Газар нутгийг УТХАГЗБ-ын аймгийн төлөвлөлт |
2 |
0 |
|
Газар нутгийг УТХАГЗБ-ын сумын төлөвлөлт |
7 |
0 |
|
УТХАГЗБ-ын БОАЖЯ-ны нэгдсэн төлөвлөлт |
1 |
0 |
|
Хот суурин газрын суурьшлын бүс тогтоох |
1 |
0 |
|
НИЙТ |
3453 |
2579 |
Монгол Улсын Засгийн газрын 2020-2024 оны үйл ажиллагааны хөтөлбөрийг хэрэгжүүлэх ажлын төлөвлөгөөний 3.7.4.4-т Нийслэл, Булган, Дорнод, Хэнтий, Сүхбаатар, Архангай, Баянхонгор, Ховд, Говь-Алтай аймгийн газар зохион байгуулалтын ерөнхий төлөвлөгөө боловсруулахаар тусгагдсан.
Нийслэл, Булган, Баянхонгор аймгийн газар зохион байгуулалтын ерөнхий төлөвлөгөө 2022 онд батлагдаж, 2023 онд “Дорнод Монголын хуурай хээрийн тогтвортой ландшафт, биологийн олон янз байдлын хамгаалал" төсөл, орон нутгийн санхүүжилтээр Дорнод, Хэнтий, Сүхбаатар аймаг, “Хөдөө аж ахуйн менежмент, экоситемийн тогтвортой байдлыг хангах” (stream) төсөл, орон нутгийн төсвийн санхүүжилтээр Сэлэнгэаймаг, орон нутгийн төсвийн санхүүжилтээр Архангай аймгийн Газар зохион байгуулалтын ерөнхий төлөвлөгөө боловсруулагдан батлагдаж, хэрэгжиж байна.
2024 онд Хөдөө аж ахуйн менежмент, экосистемийн тогтвортой байдлыг хангах төслийн санхүүжилтээр Өвөрхангай аймаг, орон нутгийн санхүүжилтээр Ховд, Говь-Алтай аймгийн газар зохион байгуулалтын ерөнхий төлөвлөгөөг шинэчлэн боловсруулах, Говьсүмбэр, Дархан-Уул, Дорноговь, Хөвсгөл, Өмнөговь аймгийн газар зохион байгуулалтын ерөнхий төлөвлөгөөнд тодотгол хийлгэх ажлуудыг зохион байгуулна.
Зураг 1. Аймаг, нийслэлийн газар зохион байгуулалтын ерөнхий төлөвлөгөө
боловсруулсан байдал
Сумын нутаг дэвсгэрийн хөгжлийн төлөвлөгөө боловсруулах ажил нь Монгол Улсын Засгийн газрын 2020-2024 оны үйл ажиллагааны хөтөлбөрийг хэрэгжүүлэх арга хэмжээний төлөвлөгөөний 3.7.4-ын 5-т 54 сумын нутаг дэвсгэрийн хөгжлийн төлөвлөгөө боловсруулахаар тусгагдсан. Улмаар 2023 онд Баянхонгор аймгийн Баянговь, Бөмбөгөр, Эрдэнэцогт, Заг, Дорнод аймгийн Матад, Булган, Хөлөнбуйр, Баянтүмэн, Чойбалсан, Гурванзагал, Баяндун, Чулуунхороот, Баян-Уул, Завхан аймгийн Цагаанчулуут, Отгон, Алдархаан, Завханмандал, Идэр, Эрдэнэхайрхан, Яруу, Сантмаргац, Нөмрөг, Баянхайрхан, Тэс, Баянтэс, Сүхбаатар аймгийн Сүхбаатар, Наран, Дарьганга, Онгон, Баяндэлгэр, Асгат, Эрдэнэцагаан, Халзан, Түвшинширээ, Уулбаян, Мөнххаан, Түмэнцогт, Сэлэнгэ аймгийн Орхонтуул, Баянгол, Орхон, Сант, Сайхан, Баруунбүрэн, Жавхлант, Хушаат, Шаамар, Зүүнбүрэн, Сүхбаатар, Цагааннуур, Алтанбулаг, Түшиг, Ерөө, Хүдэр, Мандал, Ховд аймгийн Зэрэг, Эрдэнэбүрэн, Мянгад, Увс аймгийн Цагаанхайрхан, Давст, Төв аймгийн Эрдэнэсант, Лүн, Заамар, Батсүмбэр, Борнуур, Эрдэнэ, Сэргэлэн, Хэнтий аймгийн Баян-Овоо, Баян-Адарга, Норовлин, Биндэр, Баянмөнх, Хэрлэн, Дархан, Галшар нийт 9 аймгийн 74 суманд нутаг дэвсгэрийн хөгжлийн төлөвлөгөө боловсруулах ажил хийгдсэн.
2024 онд 7 аймгийн 78 сумын нутаг дэвсгэрийн хөгжлийн төлөвлөгөөг орон нутгийн төсвийн хөрөнгөөр болон олон улсын төсөл хөтөлбөрийн санхүүжилтээр боловсруулж, батлуулахаар төлөвлөн ажиллаж байна.
Сумын нутаг дэвсгэрийн хөгжлийн төлөвлөгөөний 2023 оны хэрэгжилт:
Улсын хэмжээнд 110 сум нутаг дэвсгэрийн хөгжлийн төлөвлөгөөний дагуу газрын нэгдмэл сангын бүх ангилалын газарт 1149 байршилд 6,142,195.10 га талбай бүхий арга хэмжээг хэрэгжүүлж 5.02 хувьтай байна.
Хүснэгт 1. Сумын нутаг дэвсгэрийн хөгжлийн төлөвлөгөөний хэрэгжилт(аймгаар)
|
Д/д |
Аймгийн нэр |
Төлөвлөгөөг хэрэгжүүлсэн сумдын тоо |
Сумын нутаг дэвсгэрийн хөгжлийн төлөвлөгөөний дагуу 2023 онд хэрэгжсэн арга хэмжээ |
|
|
Байршлын тоо |
Газрын хэмжээ /га/ |
|||
|
1 |
Архангай |
5 |
115 |
121,922.41 |
|
2 |
Баян-Өлгий |
1 |
- |
- |
|
3 |
Баянхонгор |
8 |
48 |
439,604.01 |
|
4 |
Булган |
15 |
104 |
1,178,758.71 |
|
5 |
Говь-Алтай |
3 |
258 |
2,116,612.07 |
|
6 |
Говьсүмбэр |
3 |
133 |
456,130.14 |
|
7 |
Дархан-Уул |
1 |
5 |
13,5 |
|
8 |
Дорноговь |
4 |
18 |
211,841.64 |
|
9 |
Дорнод |
4 |
- |
- |
|
10 |
Дундговь |
15 |
109 |
396,125.20 |
|
11 |
Завхан |
3 |
20 |
360,595.79 |
|
12 |
Орхон |
1 |
- |
- |
|
13 |
Өвөрхангай |
3 |
9 |
7,297.92 |
|
14 |
Өмнөговь |
15 |
152 |
698,596.80 |
|
15 |
Төв |
4 |
- |
- |
|
16 |
Увс |
6 |
168 |
15,046.47 |
|
17 |
Ховд |
5 |
- |
- |
|
18 |
Хөвсгөл |
3 |
- |
- |
|
19 |
Хэнтий |
11 |
10 |
139,663.94 |
|
Нийт |
110 сум |
1149 |
6,142,195.10 |
|
Зураг 2. Сумын нутаг дэвсгэрийн хөгжлийн төлөвлөгөөг 2023 онд хэрэгжүүлсэн сумдын мэдээлэл
Улсын хэмжээнд нийслэл, сум, дүүргийн тухайн жилийн газар зохион байгуулалтын төлөвлөгөөнд газрын нэгдмэл сангийн ангиллын газарт нийтдээ 105575 байршилд 5641.2 мянган га газар төлөвлөснөөс жилийн эцсийн байдлаар нийт 5 7087 байршилд 4992. 1 мянган га газрыг өмчлүүлж, эзэмшүүлж, ашиглуулах, хамгаалах арга хэмжээг хэрэгжүүлсэн байна.
2023 онд нийслэл, сум, дүүргийн тухайн жилийн газар зохион байгуулалтын төлөвлөгөөнд 99600 нэгж талбарын 148470.2 га газрыг өргөдлийн дагуу олгохоор, 2805 нэгж талбарын 9786.92 га газрыг дуудлага худалдаагаар олгохоор, 207 нэгж талбарын 148470.17 га газрыг төсөл сонгон шалгаруулалтаар, 1256 байршлын 3930030.8 га газрын нөхөн сэргээх, хамгаалах, 1537 байршилд 1417323.4 га газрыг нийтийн эдэлбэрийн газрын төлөвлөлтөөр, 170 нэгж талбарын 2550.9 га газрыг чөлөөлхөөр тусгаснаас өргөдлийн дагуу 54015, дуудлага худалдаагаар 1295, төсөл сонгон шалгаруулалтаар 81, нөхөн сэргээх хамгаалах арга хэмжээг 857, нийтийн эдэлбэр газрын төлөвлөлтийг 747 байршил, 92 нэгж талбарыг чөлөөлж, төлөвлөгөөний хэрэгжилт 54.1 хувь хэрэгжсэн байна.
График 1.Улсын хэмжээний 2023 оны газар зохион байгуулалтын төлөвлөгөөний хэрэгжилт
График 2. Нийслэл, сум, дүүргийн 2023 оны газар зохион байгуулалтын төлөвлөгөө, хэрэгжилт (арга хэмжээний төрлөөр )
Нийслэл, сум, дүүргийн 2024 оны газар зохион байгуулалтын төлөвлөгөө боловсруулсан байдал:
Газар зохион байгуулалт, хот төлөвлөлтийн цахим системээс Нийслэл, 330 сум, 9 дүүргийн 2024 оны газар зохион байгуулалтын төлөвлөгөө боловсруулсан байдлыг 2023 оны 01 дугаар сарын 19-ний өдрийн байдлаар үзэхэд 257 сум, 6 дүүрэг төлөвлөгөөгөө баталж, 39 сум баталгаажуулах шатанд, нийслэл, 35 сум, 3 дүүргийн газар зохион байгуулалтын төлөвлөгөө төсөл боловсруулах явцтай байна.
Зураг 3. Газар зохион байгуулалтын төлөвлөгөө боловсруулалтын явц
Цахим системд баталгаажуулсан нийслэл, сум, дүүргийн 2024 оны газар зохион байгуулалтын төлөвлөгөөнөөс үзэхэд газрын нэгдмэл сангийн ангилалд нийт 46966 байршилд 6. 89 сая га газрыг эзэмшүүлэх, ашиглуулах, өмчлүүлэх, хамгаалах, нөхөн сэргээхээр төлөвлөсөн байна. Үүнээс хөдөө, аж ахуйн ангиллын газарт 10707 байршилд 6.45 сая га, хот, тосгон бусад суурины газарт 35269 байршилд 68.5 мянган га, зам, шугам сүлжээний газарт 404 байршилд 190.8 мянган га, ойн сан бүхий газарт 401 байршилд 64.6 мянган га, усны сан бүхий газарт 60 байршилд 1.31 мянган га, тусгай хэрэгцээний газарт 125 байршилд 110 мянган га газрыг тус тус төлөвлөсөн байна.
График 3. Газрын нэгдмэл сангийн ангиллаар тухайн жилийн газар зохион байгуулалтын төлөвлөгөөг харуулбал (нэгж талбарын тоогоор) :
“Монгол улсын иргэнд 2023онд өмчлүүлэх газрын нийт хэмжээ, байршил, зориулалтыг тогтоох тухай”Засгийн газрын105 дугаар тогтоолын хэрэгжилт:
Монгол улсын Засгийн газрын 2023 оны 105 дугаар тогтоолоор улсын хэмжээнд нийт 29563иргэнд 3583.07га газрыг өмчлүүлэхээр баталснаас 15753иргэнд 1954.62га газрыг өмчлүүлсэн бөгөөд тус тогтоолын хэрэгжилт 54.6 хувьтай байна.
Үүнээс гэр бүлийн хэрэгцээний зориулалтаар үнэгүй нийт 3803 иргэнд эзэмшиж байгаа 314.21га, 10350иргэнд шинээр 1246.08га, 942 иргэнд улсын чанартай зам дагуу 75.22 га, 648 иргэнд нөхөх олговортойгоор солих 318.55 га, 10 иргэнд аж ахуйн зориулалтаар үнээр нь 0.56 га газрыг тус тус өмчлүүлсэн байна. Нийслэлийн хэмжээнд нийт 2573 иргэнд эзэмшиж байгаа 180.73 га газрыг өмчлүүлсэн байна.
График 4. 2023 онд иргэнд өмчлүүлэхээр төлөвлөсөн болон өмчлүүлсэн газрын хэрэгжилт, байршлаар
График 5. 2023 онд иргэнд гэр бүлийн хэрэгцээний зориулалтаар болон аж ахуйн зориулалтаар өмчлүүлсэн газрын хэмжээ /га-аар/
“Иргэнд 2024 онд өмчлүүлэх газрын нийт хэмжээ, байршил, зориулалтыг тогтоох тухай” Засгийн газрын тогтоолын төсөл:
Улсын хэмжээнд 2024 онд нийт 18035 иргэнд 1908.91 га газрыг өмчлүүлэхээр төлөвлөж, Засгийн газрын тогтоолын төсөлд тусгав. Үүнээс гэр бүлийн хэрэгцээний зориулалтаар үнэгүй өмчлүүлэхээр төлөвлөсөн нийт 1903.54 га газрын 58.8 хувь буюу 1120.26 га газрыг иргэдийн одоо эзэмшиж байгаа газар, 14.4 хувь буюу 273.73 га газрыг шинээр өмчлүүлэх, 26.8 хувь буюу 509.54 га газрыг нөхөх олговортойгоор солих газар тус тус эзэлж байна. Аж ахуйн зориулалтаар үнээр нь нийт 26 иргэнд 5.37 га газрыг өмчлүүлэхээр төлөвлөсөн.
Нийслэлийн хэмжээнд нийт 2903 иргэнд гэр бүлийн хэрэгцээний зориулалтаар эзэмшиж байгаа 165.26 га газрыг өмчлүүлэхээр төлөвлөсөн байна.
ГАЗАР ЗОХИОН БАЙГУУЛАЛТЫН 2023 ОНЫ ТӨЛӨВЛӨГӨӨНИЙ ХЭРЭГЖИЛТ, 2024 ОНЫ ГАЗАР ЗОХИОН БАЙГУУЛАЛТЫН ТӨЛӨВЛӨГӨӨ
Нийслэл, сум, дүүргийн 2023 оны газар зохион байгуулалтын төлөвлөгөөний хэрэгжилт
Улсын хэмжээнд нийслэл, сум, дүүргийн тухайн жилийн газар зохион байгуулалтын төлөвлөгөөнд газрын нэгдмэл сангийн ангиллын газарт нийтдээ 105575 байршилд 5641.2 мянган га газар төлөвлөснөөс жилийн эцсийн байдлаар нийт 5 7087 байршилд 4992. 1 мянган га газрыг өмчлүүлж, эзэмшүүлж, ашиглуулах, хамгаалах арга хэмжээг хэрэгжүүлсэн байна.
2023 оны газар зохион байгуулалтын төлөвлөгөөг дараах аймгууд хангалттай сайн хэрэгжүүлж ажилласан байна. Үүнд:
Газар зохион байгуулалт, төлөвлөлтийн цахим системээс 2023 оны тухайн жилийн газар зохион байгуулалтын төлөвлөгөөний хэрэгжилтийг үзэхэд Говьсүмбэр аймаг 91.56 хувь, Архангай аймаг 77.53 хувь, Булган аймаг 73.75 хувь, Завхан аймаг 73.10 хувь, Увс аймаг 72.21 хувь, Өвөрхангай аймаг 71.46 хувь, Хэнтий аймаг 68.81 хувь, Орхон аймаг 68.24 хувь, Хөвсгөл аймаг 67.56 хувь, Говь-Алтай аймаг 67.12 хувь, Дорноговь аймаг 66.51 хувь, Баян-Өлгий аймаг 61.71 хувь, Өмнөговь аймаг 58.47 хувь, Сэлэнгэ аймаг 57.87 хувь, Төв аймаг 54.98 хувь, Баянхонгор аймаг 52.44 хувь, Дундговь аймаг 51.50 хувьтай хэрэгжүүлсэн байна.
Харин 50 хувиас доош хэрэгжилттэй Дархан-Уул аймаг 48.85 хувь, Улаанбаатар 47.12 хувь, Дорнод аймаг 40.87 хувь, Сүхбаатар аймаг 35.84 хувь, Ховд аймаг 34.85 хувьтай хэрэгжүүлсэн байна.
Хүснэгт 2. Тухайн жилийн газар зохион байгуулалтын төлөвлөгөөний хэрэгжилтийн байдал
|
Д/д |
Аймаг, нийслэл |
2023 онд төлөвлөсөн |
Төлөвлөгөөний дагуу хэрэгжсэн |
Хэрэгжилтийн хувь |
||
|
Нэгж талбарын тоо |
Нийт талбайн хэмжээ /га/ |
Нэгж талбарын тоо |
Талбайн хэмжээ /га/ |
|||
|
1 |
Архангай |
1825 |
455.88 |
1415 |
236.39 |
77.5 |
|
2 |
Баян-Өлгий |
2267 |
96043.45 |
1399 |
95679.67 |
61.7 |
|
3 |
Баянхонгор |
2164 |
1563221.59 |
1135 |
1547012.83 |
52.4 |
|
4 |
Булган |
3746 |
121825.02 |
2763 |
101540.28 |
73.8 |
|
5 |
Говь-Алтай |
1813 |
186496.56 |
1217 |
185920.85 |
67.1 |
|
6 |
Говьсүмбэр |
166 |
11104.13 |
152 |
11101.06 |
91.6 |
|
7 |
Дархан-Уул |
1883 |
1535.11 |
920 |
386.14 |
48.9 |
|
8 |
Дорноговь |
1568 |
1535576.52 |
1043 |
1499401.7 |
66.5 |
|
9 |
Дорнод |
2750 |
402385.3 |
1124 |
64973.39 |
40.9 |
|
10 |
Дундговь |
1295 |
490182.77 |
667 |
487255.35 |
51.5 |
|
11 |
Завхан |
1732 |
347969.92 |
1267 |
343412.68 |
73.1 |
|
12 |
Орхон |
1713 |
742.01 |
1169 |
452.21 |
68.2 |
|
13 |
Өвөрхангай |
2306 |
368561.78 |
1648 |
230221.3 |
71.5 |
|
14 |
Өмнөговь |
1452 |
8810.9 |
849 |
3307.2 |
58.5 |
|
15 |
Сүхбаатар |
2173 |
7234.82 |
779 |
1663.61 |
35.8 |
|
16 |
Сэлэнгэ |
6193 |
10240.3 |
3584 |
5481.32 |
57.9 |
|
17 |
Төв |
12272 |
199005.66 |
6748 |
171,765.32 |
55.0 |
|
18 |
Увс |
2642 |
96590.05 |
1908 |
90329.58 |
72.2 |
|
19 |
Ховд |
3067 |
4105.23 |
1069 |
2381 |
34.9 |
|
20 |
Хөвсгөл |
2821 |
24078.62 |
1906 |
20111.2 |
67.6 |
|
21 |
Хэнтий |
4104 |
155115.56 |
2824 |
126,530.23 |
68.8 |
|
22 |
Улаанбаатар |
45623 |
9,945.01 |
21501 |
2,505.22 |
47.1 |
|
Нийт |
105575 |
5641226.19 |
57087 |
4991668.53 |
54.1 |
|
График 6. Арга хэмжээний төрлөөр тухайн жилийн төлөвлөгөөний хэрэгжилтийг авч үзвэл:
Хүснэгт 3. Тухайн жилийн төлөвлөгөөг арга хэмжээний төрлөөр авч үзвэл:
|
Д/д |
Арга хэмжээний төрөл |
Төлөвлөсөн нэгж талбарын тоо |
Хэрэгжсэн нэгж талбарын тоо |
Хэрэгжилтийн хувь |
|
1 |
Төсөл сонгон шалгаруулалт |
207 |
81 |
39.13 |
|
2 |
Өргөдлийн дагуу олгох |
99600 |
54015 |
54.23 |
|
3 |
Нөхөн сэргээх, хамгаалах |
1256 |
857 |
68.23 |
|
4 |
Нийтийн эдэлбэр газрын төлөвлөлт |
1537 |
747 |
48.6 |
|
5 |
Дуудлага худалдаагаар олгох |
2805 |
1295 |
46.16 |
|
6 |
Газар чөлөөлөх |
170 |
92 |
54.11 |
|
Нийт |
105575 |
57087 |
54.07 |
|
Хүснэгт 4. Сүүлийн 3 жилийн газар зохион байгуулалтын төлөвлөгөөний хэрэгжилтийг хувиар харьцуулан харуулбал:
|
Д/д |
Аймаг, нийслэлийн нэр |
2021 он |
2022 он |
2023 он |
|
1 |
Архангай |
60.13 |
37.67 |
77.5 |
|
2 |
Баян-Өлгий |
35.74 |
44.22 |
61.7 |
|
3 |
Баянхонгор |
12.14 |
28.09 |
52.4 |
|
4 |
Булган |
68.28 |
71.08 |
73.8 |
|
5 |
Говь-Алтай |
59.16 |
65.65 |
67.1 |
|
6 |
Говьсүмбэр |
78.38 |
90.82 |
91.6 |
|
7 |
Дархан-Уул |
47.74 |
67.2 |
48.9 |
|
8 |
Дорноговь |
48.32 |
69.31 |
66.5 |
|
9 |
Дорнод |
50.04 |
26.23 |
40.9 |
|
10 |
Дундговь |
58.46 |
67.07 |
51.5 |
|
11 |
Завхан |
52.62 |
68.66 |
73.1 |
|
12 |
Орхон |
49.47 |
44.44 |
68.2 |
|
13 |
Өвөрхангай |
20.99 |
18.13 |
71.5 |
|
14 |
Өмнөговь |
16.29 |
52.41 |
58.5 |
|
15 |
Сүхбаатар |
30.74 |
33.83 |
35.8 |
|
16 |
Сэлэнгэ |
28.45 |
66.84 |
57.9 |
|
17 |
Төв |
20.54 |
42.85 |
55 |
|
18 |
Увс |
42.05 |
58.03 |
72.2 |
|
19 |
Ховд |
58.78 |
46.24 |
34.9 |
|
20 |
Хөвсгөл |
60.79 |
69.76 |
67.6 |
|
21 |
Хэнтий |
80.42 |
80.19 |
68.8 |
|
22 |
Улаанбаатар |
61.53 |
48.7 |
47.1 |
|
Нийт |
42.41 |
54.42 |
54.1 |
|
График 7. Сүүлийн 3 жилийн газар зохион байгуулалтын төлөвлөгөөний хэрэгжилтийг зургаар харуулбал (хувиар):
Хот, тосгон, бусад суурины газрын 2023 оны тухайн жилийн газар зохион байгуулалтын төлөвлөгөөний хэрэгжилт
Улсын хэмжээнд нийслэл, сум, дүүргийн газар зохион байгуулалтын 2023 оны төлөвлөгөөнд хот, тосгон, бусад суурины ангиллын газарт нийт 88198 байршилд 69.43 мянган га газрыг төлөвлөснөөс жилийн эцсийн байдлаар нийт 46974 байршилд 42.28 мянган га газрыг өмчлүүлж, эзэмшүүлж, ашиглуулж, хамгаалах арга хэмжээг хэрэгжүүлсэн байна.
Хүснэгт 5. Хот, тосгон, бусад суурины газрын 2023 оны төлөвлөгөөний хэрэгжилтийг аймаг, нийслэлээр харуулбал:
|
Д/д |
Аймаг, нийслэл |
2023 онд төлөвлөсөн |
Төлөвлөгөөний дагуу хэрэгжсэн |
Хэрэгжилтийн хувь |
||
|
Нийт нэгж талбар |
Нийт талбайн хэмжээ /га/ |
Нэгж талбарын тоо |
Талбайн хэмжээ /га/ |
|||
|
1 |
065: Архангай |
951 |
330.23 |
702 |
179.15 |
73.81 |
|
2 |
064: Баянхонгор |
1597 |
12,864.49 |
805 |
8,675.50 |
50.4 |
|
3 |
083: Баян-Өлгий |
1738 |
144.48 |
1202 |
95.97 |
69.15 |
|
4 |
063: Булган |
3144 |
2,859.02 |
2368 |
2,721.28 |
75.31 |
|
5 |
082: Говь-Алтай |
1079 |
225.01 |
587 |
57.77 |
54.4 |
|
6 |
042: Говьсүмбэр |
135 |
297.23 |
121 |
294.17 |
89.6 |
|
7 |
045: Дархан-Уул |
1459 |
1033.71 |
669 |
153.54 |
45.85 |
|
8 |
044: Дорноговь |
1338 |
1672.15 |
894 |
1436.64 |
66.81 |
|
9 |
021: Дорнод |
1103 |
4418.15 |
447 |
632.21 |
40.52 |
|
10 |
048: Дундговь |
973 |
5057.73 |
419 |
3807.7 |
43.06 |
|
11 |
081: Завхан |
975 |
195.32 |
800 |
125.39 |
82.05 |
|
12 |
062: Өвөрхангай |
1330 |
4121.87 |
1016 |
3810.93 |
76.39 |
|
13 |
046: Өмнөговь |
1096 |
2317.85 |
619 |
1890.58 |
56.47 |
|
14 |
061: Орхон |
1611 |
635.2 |
1089 |
394.83 |
67.59 |
|
15 |
022: Сүхбаатар |
1673 |
1759.61 |
689 |
1594.9 |
41.18 |
|
16 |
043: Сэлэнгэ |
4912 |
1084.7 |
2719 |
585.62 |
55.35 |
|
17 |
041: Төв |
10321 |
13624.43 |
5690 |
8321.89 |
55.15 |
|
18 |
085: Увс |
1565 |
4273.71 |
1176 |
3906.62 |
75.14 |
|
19 |
084: Ховд |
1951 |
763.97 |
428 |
361.07 |
21.93 |
|
20 |
067: Хөвсгөл |
1446 |
2472.66 |
978 |
322.16 |
67.63 |
|
21 |
023: Хэнтий |
2636 |
475.27 |
1891 |
358.24 |
71.73 |
|
22 |
011:Улаанбаатар |
45165 |
8352.02 |
21665 |
2556.5 |
47.9 |
|
Нийт |
88198 |
68978.81 |
46974 |
42282.66 |
53.25 |
|
Дээрх хүснэгтээс үзэхэд Говьсүмбэр аймаг 89.6 хувь, Завхан аймаг 81,05 хувь, Өвөрхангай аймаг 76.39 хувь, Булган аймаг 75.31 хувь, Увс аймаг 75.14 хувь, Архангай аймаг 73.81 хувь, Хэнтий аймаг 71.73 хувь, Баян-Өлгий аймаг 69.15 хувь, Хөвсгөл 67.63 хувь, Орхон аймаг 67.59 хувь, Дорноговь аймаг 66.81 хувиар газар зохион байгуулалтын тухайн жилийн төлөвлөгөөгөө хангалттай сайн биелүүлсэн байна.
Харин Ховд аймгийн хэмжээнд газар зохион байгуулалтын төлөвлөгөөний тус ангиллын газар 21.93 хувьтай хэрэгжсэн байх бөгөөд гэр бүлийн хэрэгцээний зориулалтаар эзэмшиж байгаа газрыг өмчлөх, гэр орон сууцны хашааны зориулалтаар эзэмшүүлэх газрын биелэлт хангалтгүй, Дорнод аймаг 40.52 хувьтай хэрэгжүүлсэн бөгөөд орон сууцны зориулалтаар олгох газар, худалдаа үйлчилгээний зориулалтаар олгох газар, ИААНБ дуудлага худалдаагаар эзэмшүүлэх, ухагдаж эвдэрсэн газрыг эргүүлэн дарж булах арга хэмжээнүүд хэрэгжээгүй нь байна.
График 8. Хот, тосгон, бусад суурины газрын 2023 оны төлөвлөгөөний хэрэгжилт, байршлын тоогоор:
График 9. Хот, тосгон бусад суурины газрын 2023 оны төлөвлөгөөний хэрэгжилтийг газрын хэмжээгээр харуулбал (га-гаар)
Хөдөө аж ахуйн газрын 2023 оны тухайн жилийн газар зохион байгуулалтын төлөвлөгөөний хэрэгжилт
Улсын хэмжээнд сумдын газар зохион байгуулалтын 2023 оны төлөвлөгөөний хөдөө аж ахуйн ангиллын газарт нийт 15661 га байршил бүхий 4.9 сая га газрыг төлөвлөснөөс 9533 байршилд 4.3 сая га газрыг эзэмшүүлэх болон хамгаалах , нөхөн сэргээх арга хэмжээг хэрэгжүүлсэн байна.
Хүснэгт 6. Хөдөө аж ахуйн ангиллын газрын 2023 оны газар зохион байгуулалтын төлөвлөгөөний хэрэгжилтийн байдал
|
Д/д |
Аймаг, нийслэл |
2023 онд төлөвлөсөн |
Төлөвлөгөөний дагуу хэрэгжсэн |
Хэрэгжилтийн хувь |
||
|
Нийт нэгж талбар |
Нийт талбайн хэмжээ /га/ |
Нэгж талбарын тоо |
Талбайн хэмжээ /га/ |
|||
|
1 |
065: Архангай |
871 |
122.48 |
712 |
57.18 |
81.74 |
|
2 |
064: Баянхонгор |
532 |
1,549,844.00 |
317 |
1,539,732.00 |
59.58 |
|
3 |
083: Баян-Өлгий |
512 |
95,631.99 |
194 |
95577.5 |
37.89 |
|
4 |
063: Булган |
535 |
76,180.38 |
350 |
56,167.20 |
65.42 |
|
5 |
082: Говь-Алтай |
697 |
160,299.90 |
603 |
160,203.10 |
86.51 |
|
6 |
042: Говьсүмбэр |
31 |
10806.9 |
31 |
10806.9 |
100 |
|
7 |
045: Дархан-Уул |
123 |
160.86 |
69 |
49.37 |
59.06 |
|
8 |
044: Дорноговь |
161 |
1532918 |
133 |
1497549 |
82.6 |
|
9 |
021: Дорнод |
1538 |
391,441.60 |
671 |
61352.08 |
43.62 |
|
10 |
048: Дундговь |
281 |
2,144.31 |
220 |
3,120.33 |
78.29 |
|
11 |
081: Завхан |
665 |
308,684.60 |
433 |
305,686.40 |
65.11 |
|
12 |
062: Өвөрхангай |
918 |
363417 |
598 |
225701.6 |
65.14 |
|
13 |
046: Өмнөговь |
248 |
195.04 |
152 |
55.45 |
61.29 |
|
14 |
061: Орхон |
100 |
63.69 |
79 |
54.37 |
79 |
|
15 |
022: Сүхбаатар |
476 |
5290.54 |
75 |
53.91 |
15.75 |
|
16 |
043: Сэлэнгэ |
1173 |
7,733.22 |
831 |
4,788.92 |
70.84 |
|
17 |
041: Төв |
1854 |
171,879.09 |
1015 |
155,469.20 |
54.74 |
|
18 |
085: Увс |
875 |
84,618.12 |
563 |
79,293.42 |
64.34 |
|
19 |
084: Ховд |
975 |
2397.12 |
569 |
1518.39 |
58.35 |
|
20 |
067: Хөвсгөл |
1337 |
20540.19 |
915 |
19780.76 |
68.443 |
|
21 |
023: Хэнтий |
1435 |
151857 |
910 |
124549 |
63.41 |
|
22 |
011:Улаанбаатар |
324 |
825.93 |
93 |
236.09 |
37.5 |
|
Нийт |
15661 |
4937051.96 |
9533 |
4341802.17 |
60.87 |
|
Газар зохион байгуулалтын 2023 оны төлөвлөгөөг хөдөө, аж ахуйн ангиллын газарт дараах аймгууд хангалттай сайн хэрэгжүүлсэн байна. Үүнд: Говьсүмбэр аймаг 100 хувь, Говь-Алтай аймаг 86.51 хувь, Архангай аймаг 81.74 хувь, Дорноговь аймаг 82.6 хувь, Орхон аймаг 79 хувь, Дундговь аймаг 78.29 хувь, Сэлэнгэ аймаг 70.84 хувьтай тус тус хангалттай сайн хэрэгжүүлэн ажилласан байна.
Сүхбаатар аймаг Өвөлжөө, хаваржааны доорх газрыг эзэмшүүлэх нийт 452 байршилд 31.64 га газар төлөвлөснөөс 55 байршилд 3.85 га газрыг эзэмшүүлж, 12.17 хувийн хэрэгжилттэй байна. Иймд тухайн жилийн газар зохион байгуулалтын төлөвлөгөөг боловсруулахдаа суурин болон хээрийн судалгааны ажлыг үнэн бодитойгоор хийж, төлөвлөгөөг боловсруулах шаардлагатай байна.
Улсын хэмжээнд хөдөө, аж ахуйн ангиллын газрын хэрэгжилт 60.87 хувьтай байна.
График 10. Хөдөө аж ахуйн газрын 2023 оны төлөвлөгөөний хэрэгжилтийг газрын хэмжээгээр, га-гаар
Хүснэгт 7. Газар зохион байгуулалтын төлөвлөгөөний хөдөө, аж ахуйн ангилалын газрын сүүлийн 3 жилийн хэрэгжилтийг хувиар харуулбал:
|
Д/д |
Аймаг, нийслэлийн нэр |
2021 он |
2022 он |
2023 он |
|
1 |
Архангай |
1.59 |
61.33 |
81.74 |
|
2 |
Баянхонгор |
45.63 |
63.04 |
59.58 |
|
3 |
Баян-Өлгий |
15.13 |
17.13 |
37.89 |
|
4 |
Булган |
75.1 |
66.36 |
65.42 |
|
5 |
Говь-Алтай |
80.45 |
87.5 |
86.51 |
|
6 |
Говьсүмбэр |
0 |
60 |
100 |
|
7 |
Дархан-Уул |
73.91 |
63.41 |
59.06 |
|
8 |
Дорнод |
51.53 |
93.45 |
82.6 |
|
9 |
Дорноговь |
94.96 |
32.78 |
43.62 |
|
10 |
Дундговь |
44.37 |
74.93 |
78.29 |
|
11 |
Завхан |
33 |
61.86 |
65.11 |
|
12 |
Орхон |
88.89 |
77.16 |
65.14 |
|
13 |
Өвөрхангай |
55.91 |
39.51 |
61.29 |
|
14 |
Өмнөговь |
53.17 |
56.14 |
79 |
|
15 |
Сүхбаатар |
31.05 |
55.26 |
15.75 |
|
16 |
Сэлэнгэ |
31.55 |
66.23 |
70.84 |
|
17 |
Төв |
15.31 |
54.29 |
54.74 |
|
18 |
Увс |
42.42 |
54.32 |
64.34 |
|
19 |
Ховд |
59.4 |
56.3 |
58.35 |
|
20 |
Хөвсгөл |
48.99 |
77.75 |
68.443 |
|
21 |
Хэнтий |
78.89 |
87.6 |
63.41 |
|
22 |
Улаанбаатар |
36.21 |
37.5 |
37.5 |
|
Нийт |
50.28 |
61.08 |
60.87 |
|
График 11. Хөдөө аж ахуйн газрын ангилалын тухайн жилийн газар зохион байгуулалтын төлөвлөгөөний сүүлийн 3 жилийн хэрэгжилт (хувиар)
Зам, шугам сүлжээний газрын 2023 оны тухайн жилийн газар зохион байгуулалтын төлөвлөгөөний хэрэгжилт
Газар зохион байгуулалтын 2023 оны төлөвлөгөөнд нийт 420 байршилд 151.83 мянган га газар төлөвлөснөөс жилийн эцсийн байдлаар 225 байршилд 148.83 мянган га газрыг ашиглуулж, хамгаалснаар улсын хэмжээнд зам, шугам сүлжээний ангиллын газрын төлөвлөгөөний хэрэгжилт 53.57 хувьтай байна.
Хүснэгт 8. Зам, шугам сүлжээний газрын 2023 оны газар зохион байгуулалтын төлөвлөгөөний хэрэгжилтийн байдал
|
Д/д |
Аймаг, нийслэл |
2023 онд төлөвлөсөн |
Төлөвлөгөөний дагуу хэрэгжсэн |
Хэрэгжилтийн хувь |
||
|
Нийт нэгж талбар |
Нийт талбайн хэмжээ /га/ |
Нэгж талбарын тоо |
Талбайн хэмжээ /га/ |
|||
|
1 |
065: Архангай |
2 |
3.15 |
1 |
0.04 |
50 |
|
2 |
064: Баянхонгор |
13 |
352.63 |
6 |
2.39 |
46.15 |
|
3 |
083: Баян-Өлгий |
7 |
262.19 |
2 |
1.16 |
28.57 |
|
4 |
063: Булган |
13 |
0.4 |
6 |
0.19 |
46.15 |
|
5 |
082: Говь-Алтай |
22 |
2040.29 |
17 |
1660.21 |
77.27 |
|
6 |
045: Дархан-Уул |
23 |
4.7 |
13 |
4.2 |
56.52 |
|
7 |
044: Дорноговь |
60 |
459.14 |
38 |
191.01 |
63.33 |
|
8 |
021: Дорнод |
4 |
1.87 |
1 |
0.05 |
25 |
|
9 |
048: Дундговь |
22 |
145,383.30 |
15 |
145340.4 |
68.18 |
|
10 |
081: Завхан |
10 |
42.8 |
10 |
42.8 |
100 |
|
11 |
062: Өвөрхангай |
30 |
989.64 |
16 |
682.72 |
53.33 |
|
12 |
046: Өмнөговь |
44 |
611.33 |
34 |
396.02 |
77.27 |
|
13 |
022: Сүхбаатар |
4 |
0.08 |
2 |
0.08 |
50 |
|
14 |
043: Сэлэнгэ |
23 |
775.88 |
8 |
44.15 |
34.78 |
|
15 |
041: Төв |
41 |
186.2 |
21 |
155.3 |
51.21 |
|
16 |
085: Увс |
20 |
96.35 |
5 |
2.26 |
25 |
|
17 |
084: Ховд |
15 |
610.59 |
6 |
298.38 |
40 |
|
18 |
067: Хөвсгөл |
17 |
0.18 |
6 |
0.1 |
35.29 |
|
19 |
023: Хэнтий |
4 |
0.05 |
2 |
0.03 |
50 |
|
20 |
011:Улаанбаатар |
46 |
17.66 |
16 |
14.7 |
37.2 |
|
Нийт |
420 |
151838.43 |
225 |
148836.19 |
53.57 |
|
Тухайн жилийн газар зохион байгуулалтын төлөвлөгөөний зам, шугам сүлжээний ангиллын газарт Завхан аймаг 100 хувь, Өмнөговь аймаг 77.27 хувь, Говь-Алтай аймаг 77.27 хувь, Дундговь аймаг 68.18 хувь, Дорноговь аймаг 63.33 хувь, Дархан-Уул аймаг 56.52 хувь, Өвөрхангай аймаг 53.33 хувь, Төв аймаг 51.21 хувь, Архангай аймаг 50 хувь, Сүхбаатар аймаг 50 хувь, Хэнтий аймаг 50 хувьтай хангалттай сайн хэрэгжүүлсэн байна.
Харин Дорнод аймаг 25 хувийн хэрэгжилттэй байх бөгөөд шинээр барих, өргөтгөх дулаан дамжуулах хоолойн төлөвлөлт, эрчим хүчний барилга байгууламжийн зориулалтаар ашиглах газрын төлөвлөлт, Увс аймаг 25 хувьтай, холбоо, мэдээлэл дамжуулах хүлээн авах шугам, станцын хамгаалалтын бүс тус тус төлөвлөсөн боловч хангалттай сайн хэрэгжээгүй байна.
График 12. Зам, шугам сүлжээний зориулалтаар ашиглуулах, хамгаалах газрын 2023 оны төлөвлөгөөний хэрэгжилт газрын хэмжээгээр /га-гаар/
Ойн сан бүхий газрын 2023 оны тухайн жилийн газар зохион байгуулалтын төлөвлөгөөний хэрэгжилт
Газар зохион байгуулалтын 2023 оны төлөвлөгөөнд нийт 831 байршилд 53.62 мянган га газар төлөвлөснөөс жилийн эцсийн байдлаар 404 байршилд 2.18 мянган га газрыг ашиглуулж, хамгаалснаар улсын хэмжээнд ойн сан бүхий газрын ангиллын төлөвлөгөөний хэрэгжилт 48.61 хувьтай байна.
Хүснэгт 9. Ойн сан бүхий газрын 2023 оны газар зохион байгуулалтын төлөвлөгөөний хэрэгжилтийн байдал:
|
Д/д |
Аймаг, нийслэл |
2023 онд төлөвлөсөн |
Төлөвлөгөөний дагуу хэрэгжсэн |
Хэрэгжилтийн хувь |
||
|
Нийт нэгж талбар |
Нийт талбайн хэмжээ /га/ |
Нэгж талбарын тоо |
Талбайн хэмжээ /га/ |
|||
|
1 |
064: Баянхонгор |
10 |
18.62 |
4 |
8.74 |
40 |
|
2 |
083: Баян-Өлгий |
10 |
5.13 |
1 |
4.73 |
10 |
|
3 |
063: Булган |
33 |
42651.41 |
23 |
0.19 |
46.15 |
|
4 |
082: Говь-Алтай |
7 |
39.19 |
7 |
39.19 |
100 |
|
5 |
045: Дархан-Уул |
276 |
333.87 |
169 |
179.04 |
61.23 |
|
6 |
044: Дорноговь |
4 |
26.16 |
4 |
26.16 |
100 |
|
7 |
021: Дорнод |
19 |
3012.17 |
0 |
0 |
0 |
|
8 |
048: Дундговь |
5 |
102.57 |
2 |
2.67 |
40 |
|
9 |
081: Завхан |
48 |
265.28 |
7 |
55.49 |
14.58 |
|
10 |
062: Өвөрхангай |
16 |
28.94 |
7 |
21.71 |
43.75 |
|
11 |
046: Өмнөговь |
56 |
4925.26 |
39 |
957.01 |
69.64 |
|
12 |
061: Орхон |
2 |
43.11 |
1 |
2.99 |
50 |
|
13 |
022: Сүхбаатар |
4 |
113.93 |
0 |
0 |
0 |
|
14 |
043: Сэлэнгэ |
74 |
570.88 |
24 |
57.11 |
32.43 |
|
15 |
041: Төв |
26 |
140.74 |
3 |
11.9 |
11.53 |
|
16 |
085: Увс |
23 |
200.72 |
20 |
197.89 |
86.95 |
|
17 |
084: Ховд |
126 |
333.54 |
66 |
203.16 |
52.38 |
|
18 |
067: Хөвсгөл |
7 |
23.56 |
6 |
6.34 |
85.71 |
|
19 |
023: Хэнтий |
12 |
382.23 |
9 |
350.68 |
75 |
|
20 |
011:Улаанбаатар |
73 |
409.86 |
12 |
56.56 |
16.43 |
|
Нийт |
831 |
53627.17 |
404 |
2181.56 |
48.61 |
|
2023 оны тухайн жилийн газар зохион байгуулалтын төлөвлөгөөний ойн сан бүхий газрын ангиллын газарт дараах аймгууд хангалттай сайн хэрэгжүүлсэн байна. Үүнд: Говь-Алтай аймаг 100 хувь, Дорноговь аймаг 100 хувь, Увс аймаг 86.95, Хөвсгөл аймаг 85.71 хувь, Хэнтий аймаг 75 хувь, Өмнөговь аймаг 69.64 хувь, Дархан-Уул аймаг 61.23 хувь, хангалттай сайн хэрэгжүүлсэн байна.
Харин Дорнод аймаг өвчин, хортон шавьжтай тэмцэх ой бүхий газар, нөхөн сэргээх ойн талбай, Сүхбаатар аймаг мод үржүүлгийн газар байгуулахад тохиромжтой газар, тариалангийн талбайг хамгаалах ойн зурвас байгуулах газар, мод үржүүлгийн газар байгуулах газар тус тус төлөвлөсөн боловч хэрэгжээгүй байна.
Архангай аймаг, Говьсүмбэр аймаг ойн сан бүхий газрын ангилалд арга хэмжээ төлөвлөөгүй байна.
График 13. Ойн сан бүхий газрын зориулалтаар ашиглуулах, хамгаалах газрын 2023 оны төлөвлөгөөний хэрэгжилт газрын хэмжээгээр /га-гаар/
Усны сан бүхий газрын 2023 оны газар зохион байгуулалтын төлөвлөгөөний хэрэгжилт
Газар зохион байгуулалтын 2023 оны төлөвлөгөөнд нийт 59 байршилд 1.7 мянган га газар төлөвлөснөөс жилийн эцсийн байдлаар 37 байршилд 1.3 мянган га газарт хамгаалах арга хэмжээ хэрэгжүүлснээр улсын хэмжээнд усны сан бүхий газрын ангиллын төлөвлөгөөний хэрэгжилт 62.71 хувьтай байна.
Хүснэгт 10. Усны сан бүхий газрын 2023 оны газар зохион байгуулалтын төлөвлөгөөний хэрэгжилтийн байдал:
|
Д/д |
Аймаг, нийслэл |
2023 онд төлөвлөсөн |
Төлөвлөгөөний дагуу хэрэгжсэн |
Хэрэгжилтийн хувь |
||
|
Нийт нэгж талбар |
Нийт талбайн хэмжээ /га/ |
Нэгж талбарын тоо |
Талбайн хэмжээ /га/ |
|||
|
1 |
064: Баянхонгор |
4 |
92.95 |
4 |
92.95 |
100 |
|
2 |
063: Булган |
12 |
91.58 |
9 |
0.25 |
75 |
|
3 |
082: Говь-Алтай |
2 |
0.63 |
2 |
0.63 |
100 |
|
4 |
021: Дорнод |
4 |
0.73 |
4 |
0.73 |
100 |
|
5 |
048: Дундговь |
1 |
126.28 |
0 |
0 |
0 |
|
6 |
062: Өвөрхангай |
8 |
1.36 |
7 |
1.31 |
87.5 |
|
7 |
022: Сүхбаатар |
1 |
53.89 |
0 |
0 |
0 |
|
8 |
043: Сэлэнгэ |
2 |
4.22 |
0 |
0 |
0 |
|
9 |
041: Төв |
3 |
0.21 |
0 |
0 |
0 |
|
10 |
067: Хөвсгөл |
1 |
1.91 |
1 |
1.91 |
100 |
|
11 |
023: Хэнтий |
13 |
1265.98 |
10 |
1265.01 |
76.92 |
|
12 |
011:Улаанбаатар |
8 |
70.58 |
0 |
0 |
0 |
|
Нийт |
59 |
1710.32 |
37 |
1362.79 |
62.71 |
|
2023 оны тухайн жилийн газар зохион байгуулалтын төлөвлөгөөний усны сан бүхий газрын ангилалд дараах аймгууд хангалттай сайн хэрэгжүүлсэн байна. Үүнд: Баянхонгор аймаг 100 хувь, Говь-Алтай аймаг 100 хувь, Дорнод аймаг 100 хувь, Хөвсгөл аймаг 100 хувь, Өвөрхангай аймаг 87.5 хувь, Хэнтий аймаг 76.92 хувь, Булган аймаг 75 хувь хангалттай сайн хэрэгжүүлсэн байна.
Харин Дундговь аймаг усны эх булаг, эрэг орчмын газрыг хашиж хамгаалах, Сүхбаатар аймаг усны эх булаг, эрэг орчмын газрыг хашиж хамгаалах, Сэлэнгэ аймаг усны эх булаг, эрэг орчмын газрыг хашиж хамгаалах, хиймэл нуур, хөв, цөөрөм байгуулах газрын төлөвлөлт, Төв аймаг усан сан бүхий газрын хамгаалалтын бүс дэх зөвшөөрөгдсөн газар ашиглалт, Улаанбаатарт ус хангамжийн эх үүсвэр, рашааны орд, эх булгийн эрүүл ахуйн бүс тус тус төлөвлөсөн боловч хэрэгжээгүй байна.
Иймд тухайн жилийн төлөвлөгөө боловсруулахдаа суурин болон хээрийн судалгааны ажлыг оновчтой, үнэн, бодит төлөвлөх, хамгаалах арга хэмжээний зардлыг орон нутгийн төсөвт тусган шийдвэрлэж, газар зохион байгуулалт, төлөвлөлтийн цахим системд хамгаалах арга хэмжээний хэрэгжилтийг бүрэн гүйцэт оруулж хэвших шаардлагатай байна.
График 14. Усны сан бүхий газрын зориулалтаар ашиглуулах, хамгаалах газрын 2023 оны төлөвлөгөөний хэрэгжилт газрын хэмжээгээр /га-гаар/
Дээрх төлөвлөгөөний хэрэгжилтийг газрын талбайн хэмжээгээр харуулсан зургаас үзэхэд Баянхонгор аймаг 4 байршилд 567.59 га газар төлөвлөснөөс 1 байршилд 567.16 га газарт усан сан бүхий газрын энгийн хамгаалалтын бүсийг байгуулснаар талбайн хэмжээний биелэлт хангалттай боловч төлөвлөгөөнд тусгагдсан 3 байршилд хамгаалах арга хэмжээ хийгдээгүй тул хэрэгжилт хангалтгүй үзүүлэлттэй гарч байна. Иймд төлөвлөгөөний төслийг боловсруулахад хээрийн судалгааны ажлыг аргачлалын дагуу гүйцэтгэх нь зүйтэй юм.
Тусгай хэрэгцээний газрын 2023 оны газар зохион байгуулалтын төлөвлөгөөний хэрэгжилт
Газар зохион байгуулалтын 2023 оны төлөвлөгөөнд нийт 177 байршилд 1.7 мянган га газар төлөвлөснөөс жилийн эцсийн байдлаар 46 байршилд 0.08 мянган га газрыг эзэмшүүлэх, ашиглуулах, өмчлүүлэх, хамгаалах арга хэмжээ хэрэгжүүлснээр улсын хэмжээнд тусгай хэрэгцээний газрын ангиллын төлөвлөгөөний хэрэгжилт 61.63 хувьтай байна.
Хүснэгт 11.Тусгай хэрэгцээний газрын 2023 оны газар зохион байгуулалтын төлөвлөгөөний хэрэгжилтийн байдал
|
Д/д |
Аймаг, нийслэл |
2023 онд төлөвлөсөн |
Төлөвлөгөөний дагуу хэрэгжсэн |
Хэрэгжилтийн хувь |
||
|
Нийт нэгж талбар |
Нийт талбайн хэмжээ /га/ |
Нэгж талбарын тоо |
Талбайн хэмжээ /га/ |
|||
|
1 |
064: Баянхонгор |
8 |
48.74 |
4 |
3.24 |
50 |
|
2 |
063: Булган |
9 |
42.22 |
7 |
41.22 |
77.77 |
|
3 |
082: Говь-Алтай |
5 |
1.65 |
0 |
0 |
0 |
|
4 |
045: Дархан-Уул |
2 |
1.98 |
0 |
0 |
0 |
|
5 |
044: Дорноговь |
1 |
0.91 |
0 |
0 |
0 |
|
6 |
021: Дорнод |
71 |
65.56 |
0 |
0 |
0 |
|
7 |
048: Дундговь |
2 |
1384.31 |
0 |
0 |
0 |
|
8 |
081: Завхан |
29 |
15.8 |
14 |
9.58 |
48.28 |
|
9 |
062: Өвөрхангай |
3 |
3 |
3 |
3 |
100 |
|
10 |
046: Өмнөговь |
6 |
10.16 |
5 |
9.16 |
83.33 |
|
11 |
022: Сүхбаатар |
2 |
2.06 |
0 |
0 |
0 |
|
12 |
043: Сэлэнгэ |
9 |
71.35 |
2 |
5.53 |
22.22 |
|
13 |
041: Төв |
15 |
30.8 |
8 |
13.8 |
53.33 |
|
14 |
085: Увс |
8 |
21.7 |
1 |
0.02 |
12.5 |
|
15 |
067: Хөвсгөл |
4 |
3.01 |
0 |
0 |
0 |
|
16 |
011:Улаанбаатар |
3 |
2.86 |
2 |
2 |
66.66 |
|
Нийт |
177 |
1706.11 |
46 |
87.55 |
25.98 |
|
Тухайн жилийн газар зохион байгуулалтын төлөвлөгөөний Тусгай хэрэгцээний газрын ангиллын газрын биелэлтийг үзэхэд Өвөрхангай аймаг 100 хувь, Өмнөговь аймаг 83.33 хувь, Булган аймаг 77.77 хувь, Улаанбаатар 66.66 хувь, Төв аймаг 53.33 хувь, Завхан аймаг 48.28 хувь, хангалттай сайн хэрэгжүүлсэн байна.
Харин Говь-Алтай, Дархан-Уул, Дорноговь, Дорнод, Дундговь, Сүхбаатар, Хөвсгөл аймгууд төлөвлөсөн арга хэмжээнээсээ хэрэгжүүлээгүй байна.
График 15. Тусгай хэрэгцээний газрын зориулалтаар эзэмшүүлж, ашиглуулж, өмчлүүлж, хамгаалсан арга хэмжээний 2023 оны төлөвлөгөөний хэрэгжилт газрын хэмжээгээр /га-гаар/
2024 ОНЫ ТУХАЙН ЖИЛИЙН ГАЗАР ЗОХИОН БАЙГУУЛАЛТЫН ТӨЛӨВЛӨГӨӨ
Улсын хэмжээнд нийт 330 сум, 9 дүүргээс 2023 оны 01 дугаар сарын 19-ны өдрийн байдлаар газар зохион байгуулалт, хот төлөвлөлтийн цахим системээс тухайн жилийн газар зохион байгуулалтын төлөвлөгөө боловсруулсан байдлыг үзэхэд төлөвлөгөөгөө баталсан 263 сум, баталгаажуулах шатанд 39, төсөл боловсруулах шатанд 38 байна.
Зураг 4. Газар зохион байгуулалтын төлөвлөгөөний явцыг зургаар харуулбал:
Хүснэгт 12.Тухайн жилийн газар зохион байгуулалтын төлөвлөгөөний төсөл үүсгэсэн байдлыг аймаг, нийслэлээр харуулбал:
|
Д/д |
Аймаг, нийслэлийн нэр |
Сум, дүүргийн тоо |
Төлөвлөгөөний явц |
|
||||
|
Батлагдсан |
Баталгаажуулах |
Төсөл боловсруулах |
Төсөл үүсгээгүй |
|
||||
|
|
|
|||||||
|
1 |
Архангай |
19 |
16 |
- |
3 |
- |
|
|
|
2 |
Баян-Өлгий |
13 |
10 |
- |
3 |
- |
|
|
|
3 |
Баянхонгор |
20 |
20 |
- |
- |
- |
|
|
|
4 |
Булган |
16 |
16 |
- |
- |
- |
|
|
|
5 |
Говь-Алтай |
18 |
18 |
- |
- |
- |
|
|
|
6 |
Говьсүмбэр |
3 |
2 |
1 |
- |
- |
|
|
|
7 |
Дархан-Уул |
4 |
4 |
- |
- |
- |
|
|
|
8 |
Дорноговь |
14 |
13 |
1 |
- |
- |
|
|
|
9 |
Дорнод |
14 |
13 |
1 |
- |
- |
|
|
|
10 |
Дундговь |
15 |
15 |
- |
- |
- |
|
|
|
11 |
Завхан |
24 |
22 |
1 |
1 |
- |
|
|
|
12 |
Орхон |
2 |
2 |
- |
- |
- |
|
|
|
13 |
Өвөрхангай |
19 |
19 |
- |
- |
- |
|
|
|
14 |
Өмнөговь |
15 |
15 |
- |
- |
- |
|
|
|
15 |
Сүхбаатар |
13 |
6 |
3 |
4 |
- |
|
|
|
16 |
Сэлэнгэ |
17 |
8 |
9 |
- |
- |
|
|
|
17 |
Төв |
27 |
- |
19 |
8 |
- |
|
|
|
18 |
Увс |
19 |
15 |
1 |
3 |
- |
|
|
|
19 |
Ховд |
17 |
3 |
4 |
10 |
- |
|
|
|
20 |
Хөвсгөл |
23 |
23 |
- |
- |
- |
|
|
|
21 |
Хэнтий |
18 |
17 |
- |
1 |
- |
|
|
|
22 |
Улаанбаатар |
10 |
6 |
- |
4 |
- |
|
|
|
|
Нийт |
340 |
263 |
40 |
37 |
- |
|
|
Улсын хэмжээнд 2024 оны нийслэл, сум, дүүргийн газар зохион байгуулалтын тухайн жилийн төлөвлөгөөний баталсан болон боловсруулсан төслөөс үзэхэд газрын нэгдмэл сангийн ангилалд нийт 46966 байршилд 6.89 сая га газрыг эзэмшүүлэх, ашиглуулах, өмчлүүлэх, хамгаалах, нөхөн сэргээхээр төлөвлөсөн байна. Үүнээс хөдөө, аж ахуйн ангиллын газарт 10707 байршилд 6.45 сая га, хот, тосгон бусад суурины газарт 35269 байршилд 68.5 мянган га, зам, шугам сүлжээний газарт 404 байршилд 190.8 мянган га, ойн сан бүхий газарт 401 байршилд 64.6 мянган га, усны сан бүхий газарт 60 байршилд 1.31 мянган га, тусгай хэрэгцээний газарт 125 байршилд 110 мянган га газрыг тус тус төлөвлөсөн байна.
График 16. Газрын нэгдмэл сангийн ангиллаар тухайн жилийн газар зохион байгуулалтын төлөвлөгөөг харуулбал (нэгж талбарын тоогоор):
Дээрх графикаас үзэхэд тухайн жилийн газар зохион байгуулалтын төлөвлөгөөнд хот, тосгон бусад суурины ангиллын газарт 75.09 хувь, хөдөө, аж ахуйн ангиллын газарт 22.8 хувь, ойн сан бүхий ангиллын газарт 0.85 хувь, зам шугам сүлжээний ангиллын газарт 0.86 хувь, тусгай хэрэгцээний ангиллын газарт 0.27, усны сан бүхий ангиллын газарт 0.13 хувиар газар эзэмшүүлэх, ашиглуулах, өмчүүлэх, хамгаалах, нөхөн сэргээхээр тус тус төлөвлөсөн байна.
16.1.Монгол Улс тусгай хэрэгцээний газартай байна. Улсын тусгай хэрэгцээний газарт дараахь газар хамаарна:
|
2024 оны байдлаар улсын нийт нутаг дэвсгэрийн 32.6 хувь буюу 51 сая.га талбайг улсын тусгай хэрэгцээнд аваад байна. |
||||
|
|
|
Тусгай хэрэгцээний газрын мэдээлэл |
|
|
|
|
|
|
|
|
|
Д/д |
Газрын тухай хууль |
Тусгай хэрэгцээний газрын зориулалт |
Тоо |
Талбайн хэмжээ /га/ |
|
1 |
16.1.1 |
Улсын тусгай хамгаалалттай газар |
107 |
31402015.31 |
|
2 |
16.1.2 |
Улсын хилийн зурвас газар |
1 |
9244701.09 |
|
3 |
16.1.3 |
Улсын батлан хамгаалах болон аюулгүй байдлыг хангах зориулалтаар олгосон газар |
545 |
128953.16 |
|
4 |
16.1.4 |
Гадаад улсын дипломат төлөөлөгчийн болон консулын газар, олон улсын байгууллагын төлөөлөгчийн газарт олгосон газар |
21 |
22 |
|
5 |
16.1.5 |
Шинжлэх ухаан, технологийн сорилт, туршилт болон байгаль орчин, цаг агаарын төлөв байдлын байнгын ажиглалтын талбай |
290 |
12567.46 |
|
6 |
16.1.6 |
Аймаг дундын отрын бэлчээр |
9 |
10057595.54 |
|
7 |
16.1.7 |
Улсын тэжээлийн сангийн хадлангийн талбай |
- |
- |
|
8 |
16.1.8 |
Бүтээгдэхүүн хуваах гэрээний дагуу хайгуулын зориулалтаар ашиглах газрын тосны гэрээт талбай |
1 |
21392 |
|
9 |
16.1.9 |
Чөлөөт бүсийн газар |
3 |
2108.4 |
|
10 |
16.1.10 |
Цөмийн төхөөрөмж барих, ашиглах зориулалтаар олгосон газар |
- |
- |
|
11 |
16.1.11 |
Бичил уурхайн зориулалтаар олгосон газар |
- |
- |
|
12 |
16.1.12 |
Хилийн боомтын бүс |
- |
- |
|
13 |
16.1.13 |
Үндэсний хэмжээний томоохон бүтээн байгуулалт, дэд бүтцийн төсөл, хөтөлбөр болон төр, хувийн хэвшлийн түншлэлийн төсөл хэрэгжүүлэх газар |
19 |
813741.76 |
|
14 |
16.1.14 |
Аюултай хог хаягдлын төвлөрсөн байгууламж барих газар |
2 |
42 |
|
15 |
16.1.15 |
Хамгаалалтын бүс тогтоосон түүх, соёлын дурсгалт газар |
- |
- |
|
16 |
16.1.16 |
Үйлдвэрлэл, технологийн паркийн газар |
- |
- |
|
17 |
16.1.17 |
Нийтийн эдэлбэр газар |
- |
- |
|
18 |
16.1.18 |
Нийслэл хотын эдийн засгийн тусгай бүс |
- |
- |
|
|
|
|
998 |
51683138.72 |
МОНГОЛ УЛСЫН ЗАСАГ ЗАХИРГАА, НУТАГ ДЭВСГЭРИЙН
НЭГЖИЙН ХИЛИЙН ЦЭС
Улсын хэмжээнд засаг захиргаа, нутаг дэвсгэрийн нэгжийн хилийн цэсийг анх 1959 оны аж ахуй хоорондын газар зохион байгуулалтын ажлаар тогтоож Ардын Их Хурлын Тэргүүлэгчдийн 1960 оны 06 дугаар сарын 30-ны өдрийн 142 дугаар зарлигаар баталсан. Улмаар 1977 онд улсын хэмжээнд нийт аймаг, сумдын хилийн цэсийг газар дээр нь шинэчлэн тодотгосон материалыг үндэслэн Ардын Их Хурлын Тэргүүлэгчдийн 1977 оны 04 дүгээр сарын 04-ны өдрийн 75 дугаар зарлигаар дахин засаг захиргааны нэгжийн хилийн цэсийг шинэчлэн баталсан.
Үүнээс хойш улсын хэмжээнд шинээр сум нэмж байгуулах, татан буулгах зэрэг засаг захиргааны нэгжийн хилийн цэсийн өөрчлөлтүүдийг тухай бүрд нь Ардын Их Хурлын Тэргүүлэгчдийн зарлиг, Улсын Их Хурлын тогтоолоор баталсан бөгөөд Ардын Их Хурлын Тэргүүлэгчдийн зарлиг 13 удаа, Улсын их хурлын тогтоол 15 удаа гарсан байна.
2012 оноос 2015 оны хооронд засаг захиргаа, нутаг дэвсгэрийн нэгжийн хилийн цэсийг хүчин төгөлдөр мөрдөгдөж буй Ардын Их Хурлын Тэргүүлэгчдийн зарлиг, Улсын Их Хурлын тогтоолын дагуу М1:100000-ны масштабтай байр зүйн зурагт суурилан солбицолжуулсан бөгөөд тус хилийн цэсийг Газрын нэгдмэл сангийн удирдлагын нэгдсэн цахим системд бүртгэн газрын асуудал эрхэлсэн төрийн захиргааны байгууллагууд, бусад салбарууд өдөр тутмын үйл ажиллагаандаа ашиглаж байна.
Зураг 1.М1:100000-ны масштабтай байр зүйн зурагт суурилан солбицолжуулсан засаг захиргаа, нутаг дэвсгэрийн нэгжийн хилийн цэсийн зураг |
УЛСЫН ГАЗАР ЗОХИОН БАЙГУУЛАЛТЫН ЕРӨНХИЙ ТӨЛӨВЛӨГӨӨ
Улсын газар зохион байгуулалтын ерөнхий төлөвлөгөө гэж Монгол Улсын нутаг дэвсгэрийн хэмжээнд байгаль, газар зүйн нөхцөл, газрын нөөц, түүний экологи, эдийн засаг, орон зайн багтаамж, чадавхид зохицсон газрын менежментийн бодлогоор улс орны нийгэм, эдийн засгийг хөгжүүлэх 16-20 жилийн хэтийн чиглэлийн баримжаатай зураг төслийн баримт бичгийг хэлнэ.
Монгол Улсын Засгийн газрын 2003 оны 12 дугаар сарын 24-ний өдрийн 264 дүгээр тогтоолоор “Улсын газар зохион байгуулалтын ерөнхий төлөвлөгөө”-г анх баталж байсан бөгөөд 2016-2018 оны хооронд шинэчлэн боловсруулж, Засгийн газрын 2018 оны 384 дүгээр тогтоолоор батлуулсан байна.
ГАЗАР ӨМЧЛӨЛИЙН ТАЛААР:
“Монгол Улсын иргэнд 2024 онд өмчлүүлэх газрын нийт хэмжээ, байршил, зориулалтыг тогтоох тухай”Засгийн газрын 137 дугаар тогтоолын хэрэгжилт:
Монгол Улсын Засгийн газрын 2024 оны 137 дугаар тогтоолоор улсын хэмжээнд нийт 9549 иргэнд 1213.96 га газрыг өмчлүүлэхээр батлагдсанаас нийт 4359 иргэнд 586.50 га газрыг өмчлүүлсэн байна. Тогтоолын хэрэгжилт 45.6 хувьтай байна.
Үүнээс нийт 4348 иргэнд 585.10 га газрыг гэр бүлийн хэрэгцээний зориулалтаар үнэгүй, нийт 11 иргэнд 1.40 га газрыг аж ахуйн зориулалтаар үнээр нь тус тус өмчлүүлсэн байна.
Харин нийслэлийн хэмжээнд нийт 1806 иргэнд эзэмшиж байгаа 104.23га газрыг нь өмчлүүлсэн байна.
Гэр бүлийн хэрэгцээний зориулалтаар үнэгүй өмчлүүлсэн газрыг дэлгэрэнгүй авч үзвэл нийт 1605 иргэнд шинээр 160.62 га, нийт 2192 иргэнд одоо эзэмшиж байгаа 148.98 га газрыг өмчлүүлсэн бөгөөд Хөшигийн хөндийн тусгай хэрэгцээний газартай давхацсан Төв аймгийн Алтанбулаг сумын нийт 551 иргэнд 275. 5 га газрыг нөхөх олговортойгоор сольж өмчлүүлсэн байна.
График 1. Монгол Улсын Засгийн газрын 2024 оны 137 дугаар тогтоолын хэрэгжилт
График 2. 2024 онд иргэнд гэр бүлийн хэрэгцээний зориулалтаар болон аж ахуйн зориулалтаар өмчлүүлсэн газрын хэмжээ /га-аар/
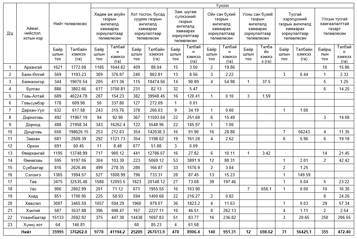
АЙМАГ, НИЙСЛЭЛИЙН ГАЗАР ЗОХИОН БАЙГУУЛАЛТЫН
ЕРӨНХИЙ ТӨЛӨВЛӨГӨӨ
Аймаг, нийслэлийн газар зохион байгуулалтын ерөнхий төлөвлөгөө нь нутаг дэвсгэрийнхээ хэмжээнд байгаль, газар зүйн нөхцөл, газрын нөөц, түүний экологи, эдийн засаг, орон зайн багтаамж, чадавхид зохицсон газрын менежментийн бодлогоор аймаг, нийслэлийн нийгэм, эдийн засгийг хөгжүүлэх, баримталж буй хэтийн бодлогыг газрын нөөцийн төлөвлөлтөөр дэмжин тогтвортой хөгжүүлэх 12-16 жилийн хугацаанд хэрэгжүүлэх урт хугацааны бодлогын баримт бичиг юм.
Одоогийн байдлаар улсын хэмжээнд нийслэл болон 19 аймгийн газар зохион байгуулалтын ерөнхий төлөвлөгөө хэрэгжиж байна.
Харин Увс аймаг газар зохион байгуулалтын ерөнхий төлөвлөгөөндөө тодотгол хийх шаардлагатай, Хөвсгөл, Өвөрхангай аймгийн төлөвлөгөөг 2025 онд боловсруулахаар төлөвлөсөн ба Дорноговь, Ховд, Говьсүмбэр аймгуудын төлөвлөгөө боловсруулагдаж байна.
Аймаг, нийслэлийн газар зохион байгуулалтын ерөнхий төлөвлөгөө боловсруулсан байдал
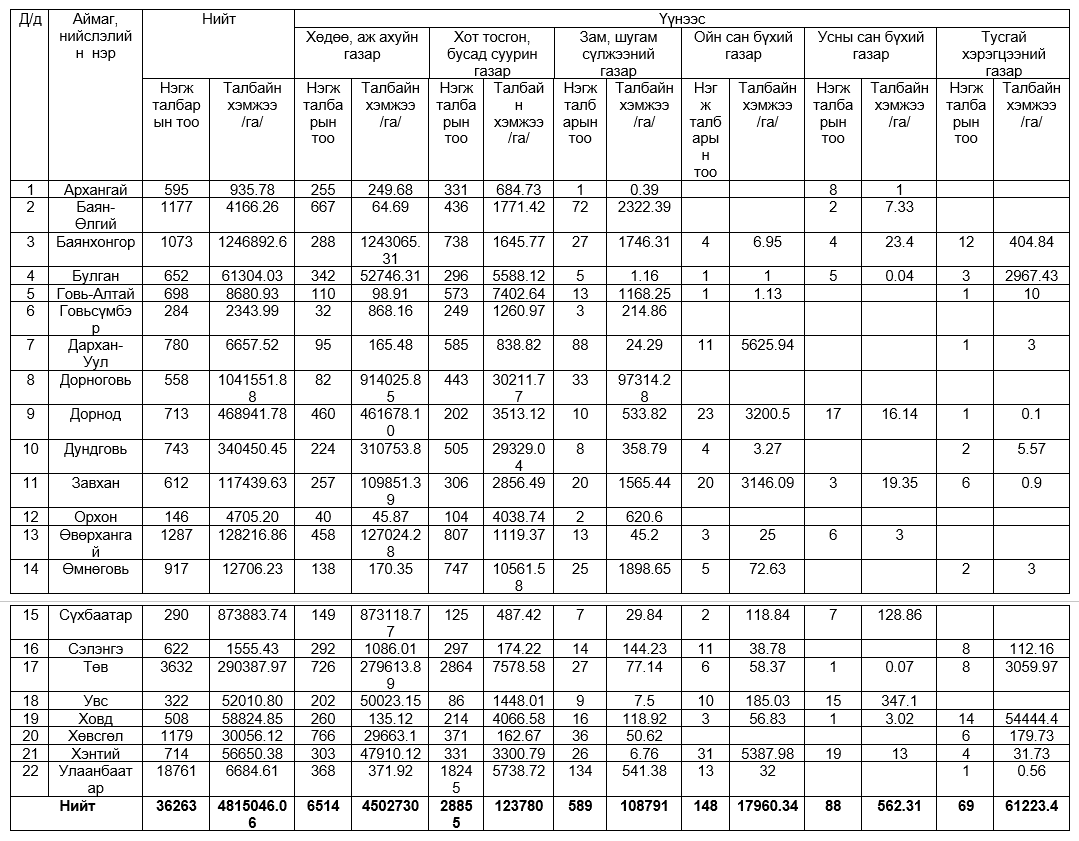
СУМЫН НУТАГ ДЭВСГЭРИЙН ХӨГЖЛИЙН ТӨЛӨВЛӨГӨӨ
Сумын нутаг дэвсгэрийн хөгжлийн төлөвлөгөө нь аймгийн газар зохион байгуулалтын ерөнхий төлөвлөгөөнд нийцсэн сумын газар, байгалийн нөхцөл, нөөц, нийгэм, эдийн засгийн хэрэгцээ, орон нутгийн онцлог, уламжлалын дагуу олон төрөлт, тогтвортой газар ашиглалтыг хөгжүүлэх 5-7 жилийн хугацаанд хэрэгжүүлэх газар зохион байгуулалтын төлөвлөлтийн баримт бичиг байна.
Улсын хэмжээнд төлөвлөгөө боловсруулж хэрэгжүүлж байгаа 181 сум, 2025 онд төлөвлөгөө боловсруулах 72 сум, төлөвлөгөө боловсруулах шаардлагатай 68 сум байна.
Сумын нутаг дэвсгэрийн хөгжлийн төлөвлөгөө боловсруулсан байдал
ГАЗАР ЗОХИОН БАЙГУУЛАЛТ, ХОТ ТӨЛӨВЛӨЛТИЙН
ЦАХИМ СИСТЕМ
“Газар зохион байгуулалт, хот төлөвлөлтийн цахим систем” нь газар зохион байгуулалт, хот байгуулалтын баримт бичиг боловсруулах, хэрэгжүүлэх, хяналт тавих болон төлөвлөгөөнд иргэд, олон нийтийн оролцоог хангах, хилийн цэсийн мэдээллийн санг эрхлэх үйл ажиллагааг цахим хэлбэрээр зохион байгуулах программ хангамж бүхий цогц үйл ажиллагааг юм.
|
цахим системд бүртгэгдсэн төлөвлөгөөний ТӨРӨЛ |
үүсгэсэн төcлийн тоо |
БАТЛАГДСАН төслийн тоо |
|
Улсын газар зохион байгуулалтын ерөнхий төлөвлөгөө |
2 |
1 |
|
Аймгийн газар зохион байгуулалтын ерөнхий төлөвлөгөө |
44 |
24 |
|
Нийслэлийн газар зохион байгуулалтын ерөнхий төлөвлөгөө |
1 |
0 |
|
Нийслэлийн газар зохион байгуулалтын тухайн жилийн төлөвлөгөө |
12 |
9 |
|
Дүүргийн тухайн жилийн газар зохион байгуулалтын төлөвлөгөө |
65 |
59 |
|
Сумын нутаг дэвсгэрийн хөгжлийн төлөвлөгөө |
207 |
99 |
|
Сумын тухайн жилийн газар зохион байгуулалтын төлөвлөгөө |
1937 |
1751 |
|
Хилийн боомтын хөгжлийн ерөнхий төлөвлөгөө |
5 |
0 |
|
Хотын хөгжлийн ерөнхий төлөвлөгөө |
226 |
7 |
|
Хэсэгчилсэн ерөнхий төлөвлөгөө |
43 |
3 |
|
Сум, дүүргийн газар зохион байгуулалтын тухайн жилийн төлөвлөгөөний тодотгол |
771 |
583 |
|
Иргэнд өмчлүүлэх газрын хэмжээ, байршил, зориулалтын санал |
54 |
30 |
|
Чөлөөт бүсийн хөгжлийн ерөнхий төлөвлөгөө |
4 |
0 |
|
Улсын тусгай хэрэгцээний газар |
2 |
0 |
|
Хамгаалалтын бүс, зурвас газрууд |
24 |
0 |
|
Тусгай хамгаалалттай газрын газар зохион байгуулалтын төлөвлөгөө |
11 |
1 |
|
Аймгийн төвийн сумын хөгжлийн ерөнхий төлөвлөгөө |
10 |
3 |
|
Чөлөөт бүсийн газар зохион байгуулалт |
7 |
4 |
|
Ашигт малтмалын тусгай зөвшөөрлийн кадастр |
1 |
0 |
|
Улсын хэмжээний хамгаалалтын зурвас газрууд |
1 |
1 |
|
Хот, суурин газрыг дахин хөгжүүлэх төсөл |
14 |
4 |
|
Газар нутгийг УТХАГЗБ-ын улсын төлөвлөлт |
1 |
0 |
|
Газар нутгийг УТХАГЗБ-ын аймгийн төлөвлөлт |
2 |
0 |
|
Газар нутгийг УТХАГЗБ-ын сумын төлөвлөлт |
7 |
0 |
|
УТХАГЗБ-ын БОАЖЯ-ны нэгдсэн төлөвлөлт |
1 |
0 |
|
Хот суурин газрын суурьшлын бүс тогтоох |
1 |
0 |
|
НИЙТ |
3453 |
2579 |
Монгол Улсын Засгийн газрын 2020-2024 оны үйл ажиллагааны хөтөлбөрийг хэрэгжүүлэх ажлын төлөвлөгөөний 3.7.4.4-т Нийслэл, Булган, Дорнод, Хэнтий, Сүхбаатар, Архангай, Баянхонгор, Ховд, Говь-Алтай аймгийн газар зохион байгуулалтын ерөнхий төлөвлөгөө боловсруулахаар тусгагдсан.
Нийслэл, Булган, Баянхонгор аймгийн газар зохион байгуулалтын ерөнхий төлөвлөгөө 2022 онд батлагдаж, 2023 онд “Дорнод Монголын хуурай хээрийн тогтвортой ландшафт, биологийн олон янз байдлын хамгаалал" төсөл, орон нутгийн санхүүжилтээр Дорнод, Хэнтий, Сүхбаатар аймаг, “Хөдөө аж ахуйн менежмент, экоситемийн тогтвортой байдлыг хангах” (stream) төсөл, орон нутгийн төсвийн санхүүжилтээр Сэлэнгэаймаг, орон нутгийн төсвийн санхүүжилтээр Архангай аймгийн Газар зохион байгуулалтын ерөнхий төлөвлөгөө боловсруулагдан батлагдаж, хэрэгжиж байна.
2024 онд Хөдөө аж ахуйн менежмент, экосистемийн тогтвортой байдлыг хангах төслийн санхүүжилтээр Өвөрхангай аймаг, орон нутгийн санхүүжилтээр Ховд, Говь-Алтай аймгийн газар зохион байгуулалтын ерөнхий төлөвлөгөөг шинэчлэн боловсруулах, Говьсүмбэр, Дархан-Уул, Дорноговь, Хөвсгөл, Өмнөговь аймгийн газар зохион байгуулалтын ерөнхий төлөвлөгөөнд тодотгол хийлгэх ажлуудыг зохион байгуулна.
Зураг 1. Аймаг, нийслэлийн газар зохион байгуулалтын ерөнхий төлөвлөгөө
боловсруулсан байдал
Сумын нутаг дэвсгэрийн хөгжлийн төлөвлөгөө боловсруулах ажил нь Монгол Улсын Засгийн газрын 2020-2024 оны үйл ажиллагааны хөтөлбөрийг хэрэгжүүлэх арга хэмжээний төлөвлөгөөний 3.7.4-ын 5-т 54 сумын нутаг дэвсгэрийн хөгжлийн төлөвлөгөө боловсруулахаар тусгагдсан. Улмаар 2023 онд Баянхонгор аймгийн Баянговь, Бөмбөгөр, Эрдэнэцогт, Заг, Дорнод аймгийн Матад, Булган, Хөлөнбуйр, Баянтүмэн, Чойбалсан, Гурванзагал, Баяндун, Чулуунхороот, Баян-Уул, Завхан аймгийн Цагаанчулуут, Отгон, Алдархаан, Завханмандал, Идэр, Эрдэнэхайрхан, Яруу, Сантмаргац, Нөмрөг, Баянхайрхан, Тэс, Баянтэс, Сүхбаатар аймгийн Сүхбаатар, Наран, Дарьганга, Онгон, Баяндэлгэр, Асгат, Эрдэнэцагаан, Халзан, Түвшинширээ, Уулбаян, Мөнххаан, Түмэнцогт, Сэлэнгэ аймгийн Орхонтуул, Баянгол, Орхон, Сант, Сайхан, Баруунбүрэн, Жавхлант, Хушаат, Шаамар, Зүүнбүрэн, Сүхбаатар, Цагааннуур, Алтанбулаг, Түшиг, Ерөө, Хүдэр, Мандал, Ховд аймгийн Зэрэг, Эрдэнэбүрэн, Мянгад, Увс аймгийн Цагаанхайрхан, Давст, Төв аймгийн Эрдэнэсант, Лүн, Заамар, Батсүмбэр, Борнуур, Эрдэнэ, Сэргэлэн, Хэнтий аймгийн Баян-Овоо, Баян-Адарга, Норовлин, Биндэр, Баянмөнх, Хэрлэн, Дархан, Галшар нийт 9 аймгийн 74 суманд нутаг дэвсгэрийн хөгжлийн төлөвлөгөө боловсруулах ажил хийгдсэн.
2024 онд 7 аймгийн 78 сумын нутаг дэвсгэрийн хөгжлийн төлөвлөгөөг орон нутгийн төсвийн хөрөнгөөр болон олон улсын төсөл хөтөлбөрийн санхүүжилтээр боловсруулж, батлуулахаар төлөвлөн ажиллаж байна.
Сумын нутаг дэвсгэрийн хөгжлийн төлөвлөгөөний 2023 оны хэрэгжилт:
Улсын хэмжээнд 110 сум нутаг дэвсгэрийн хөгжлийн төлөвлөгөөний дагуу газрын нэгдмэл сангын бүх ангилалын газарт 1149 байршилд 6,142,195.10 га талбай бүхий арга хэмжээг хэрэгжүүлж 5.02 хувьтай байна.
Хүснэгт 1. Сумын нутаг дэвсгэрийн хөгжлийн төлөвлөгөөний хэрэгжилт(аймгаар)
|
Д/д |
Аймгийн нэр |
Төлөвлөгөөг хэрэгжүүлсэн сумдын тоо |
Сумын нутаг дэвсгэрийн хөгжлийн төлөвлөгөөний дагуу 2023 онд хэрэгжсэн арга хэмжээ |
|
|
Байршлын тоо |
Газрын хэмжээ /га/ |
|||
|
1 |
Архангай |
5 |
115 |
121,922.41 |
|
2 |
Баян-Өлгий |
1 |
- |
- |
|
3 |
Баянхонгор |
8 |
48 |
439,604.01 |
|
4 |
Булган |
15 |
104 |
1,178,758.71 |
|
5 |
Говь-Алтай |
3 |
258 |
2,116,612.07 |
|
6 |
Говьсүмбэр |
3 |
133 |
456,130.14 |
|
7 |
Дархан-Уул |
1 |
5 |
13,5 |
|
8 |
Дорноговь |
4 |
18 |
211,841.64 |
|
9 |
Дорнод |
4 |
- |
- |
|
10 |
Дундговь |
15 |
109 |
396,125.20 |
|
11 |
Завхан |
3 |
20 |
360,595.79 |
|
12 |
Орхон |
1 |
- |
- |
|
13 |
Өвөрхангай |
3 |
9 |
7,297.92 |
|
14 |
Өмнөговь |
15 |
152 |
698,596.80 |
|
15 |
Төв |
4 |
- |
- |
|
16 |
Увс |
6 |
168 |
15,046.47 |
|
17 |
Ховд |
5 |
- |
- |
|
18 |
Хөвсгөл |
3 |
- |
- |
|
19 |
Хэнтий |
11 |
10 |
139,663.94 |
|
Нийт |
110 сум |
1149 |
6,142,195.10 |
|
Зураг 2. Сумын нутаг дэвсгэрийн хөгжлийн төлөвлөгөөг 2023 онд хэрэгжүүлсэн сумдын мэдээлэл
Улсын хэмжээнд нийслэл, сум, дүүргийн тухайн жилийн газар зохион байгуулалтын төлөвлөгөөнд газрын нэгдмэл сангийн ангиллын газарт нийтдээ 105575 байршилд 5641.2 мянган га газар төлөвлөснөөс жилийн эцсийн байдлаар нийт 5 7087 байршилд 4992. 1 мянган га газрыг өмчлүүлж, эзэмшүүлж, ашиглуулах, хамгаалах арга хэмжээг хэрэгжүүлсэн байна.
2023 онд нийслэл, сум, дүүргийн тухайн жилийн газар зохион байгуулалтын төлөвлөгөөнд 99600 нэгж талбарын 148470.2 га газрыг өргөдлийн дагуу олгохоор, 2805 нэгж талбарын 9786.92 га газрыг дуудлага худалдаагаар олгохоор, 207 нэгж талбарын 148470.17 га газрыг төсөл сонгон шалгаруулалтаар, 1256 байршлын 3930030.8 га газрын нөхөн сэргээх, хамгаалах, 1537 байршилд 1417323.4 га газрыг нийтийн эдэлбэрийн газрын төлөвлөлтөөр, 170 нэгж талбарын 2550.9 га газрыг чөлөөлхөөр тусгаснаас өргөдлийн дагуу 54015, дуудлага худалдаагаар 1295, төсөл сонгон шалгаруулалтаар 81, нөхөн сэргээх хамгаалах арга хэмжээг 857, нийтийн эдэлбэр газрын төлөвлөлтийг 747 байршил, 92 нэгж талбарыг чөлөөлж, төлөвлөгөөний хэрэгжилт 54.1 хувь хэрэгжсэн байна.
График 1.Улсын хэмжээний 2023 оны газар зохион байгуулалтын төлөвлөгөөний хэрэгжилт
График 2. Нийслэл, сум, дүүргийн 2023 оны газар зохион байгуулалтын төлөвлөгөө, хэрэгжилт (арга хэмжээний төрлөөр )
Нийслэл, сум, дүүргийн 2024 оны газар зохион байгуулалтын төлөвлөгөө боловсруулсан байдал:
Газар зохион байгуулалт, хот төлөвлөлтийн цахим системээс Нийслэл, 330 сум, 9 дүүргийн 2024 оны газар зохион байгуулалтын төлөвлөгөө боловсруулсан байдлыг 2023 оны 01 дугаар сарын 19-ний өдрийн байдлаар үзэхэд 257 сум, 6 дүүрэг төлөвлөгөөгөө баталж, 39 сум баталгаажуулах шатанд, нийслэл, 35 сум, 3 дүүргийн газар зохион байгуулалтын төлөвлөгөө төсөл боловсруулах явцтай байна.
Зураг 3. Газар зохион байгуулалтын төлөвлөгөө боловсруулалтын явц
Цахим системд баталгаажуулсан нийслэл, сум, дүүргийн 2024 оны газар зохион байгуулалтын төлөвлөгөөнөөс үзэхэд газрын нэгдмэл сангийн ангилалд нийт 46966 байршилд 6. 89 сая га газрыг эзэмшүүлэх, ашиглуулах, өмчлүүлэх, хамгаалах, нөхөн сэргээхээр төлөвлөсөн байна. Үүнээс хөдөө, аж ахуйн ангиллын газарт 10707 байршилд 6.45 сая га, хот, тосгон бусад суурины газарт 35269 байршилд 68.5 мянган га, зам, шугам сүлжээний газарт 404 байршилд 190.8 мянган га, ойн сан бүхий газарт 401 байршилд 64.6 мянган га, усны сан бүхий газарт 60 байршилд 1.31 мянган га, тусгай хэрэгцээний газарт 125 байршилд 110 мянган га газрыг тус тус төлөвлөсөн байна.
График 3. Газрын нэгдмэл сангийн ангиллаар тухайн жилийн газар зохион байгуулалтын төлөвлөгөөг харуулбал (нэгж талбарын тоогоор) :
“Монгол улсын иргэнд 2023онд өмчлүүлэх газрын нийт хэмжээ, байршил, зориулалтыг тогтоох тухай”Засгийн газрын105 дугаар тогтоолын хэрэгжилт:
Монгол улсын Засгийн газрын 2023 оны 105 дугаар тогтоолоор улсын хэмжээнд нийт 29563иргэнд 3583.07га газрыг өмчлүүлэхээр баталснаас 15753иргэнд 1954.62га газрыг өмчлүүлсэн бөгөөд тус тогтоолын хэрэгжилт 54.6 хувьтай байна.
Үүнээс гэр бүлийн хэрэгцээний зориулалтаар үнэгүй нийт 3803 иргэнд эзэмшиж байгаа 314.21га, 10350иргэнд шинээр 1246.08га, 942 иргэнд улсын чанартай зам дагуу 75.22 га, 648 иргэнд нөхөх олговортойгоор солих 318.55 га, 10 иргэнд аж ахуйн зориулалтаар үнээр нь 0.56 га газрыг тус тус өмчлүүлсэн байна. Нийслэлийн хэмжээнд нийт 2573 иргэнд эзэмшиж байгаа 180.73 га газрыг өмчлүүлсэн байна.
График 4. 2023 онд иргэнд өмчлүүлэхээр төлөвлөсөн болон өмчлүүлсэн газрын хэрэгжилт, байршлаар
График 5. 2023 онд иргэнд гэр бүлийн хэрэгцээний зориулалтаар болон аж ахуйн зориулалтаар өмчлүүлсэн газрын хэмжээ /га-аар/
“Иргэнд 2024 онд өмчлүүлэх газрын нийт хэмжээ, байршил, зориулалтыг тогтоох тухай” Засгийн газрын тогтоолын төсөл:
Улсын хэмжээнд 2024 онд нийт 18035 иргэнд 1908.91 га газрыг өмчлүүлэхээр төлөвлөж, Засгийн газрын тогтоолын төсөлд тусгав. Үүнээс гэр бүлийн хэрэгцээний зориулалтаар үнэгүй өмчлүүлэхээр төлөвлөсөн нийт 1903.54 га газрын 58.8 хувь буюу 1120.26 га газрыг иргэдийн одоо эзэмшиж байгаа газар, 14.4 хувь буюу 273.73 га газрыг шинээр өмчлүүлэх, 26.8 хувь буюу 509.54 га газрыг нөхөх олговортойгоор солих газар тус тус эзэлж байна. Аж ахуйн зориулалтаар үнээр нь нийт 26 иргэнд 5.37 га газрыг өмчлүүлэхээр төлөвлөсөн.
Нийслэлийн хэмжээнд нийт 2903 иргэнд гэр бүлийн хэрэгцээний зориулалтаар эзэмшиж байгаа 165.26 га газрыг өмчлүүлэхээр төлөвлөсөн байна.
ГАЗАР ЗОХИОН БАЙГУУЛАЛТЫН 2023 ОНЫ ТӨЛӨВЛӨГӨӨНИЙ ХЭРЭГЖИЛТ, 2024 ОНЫ ГАЗАР ЗОХИОН БАЙГУУЛАЛТЫН ТӨЛӨВЛӨГӨӨ
Нийслэл, сум, дүүргийн 2023 оны газар зохион байгуулалтын төлөвлөгөөний хэрэгжилт
Улсын хэмжээнд нийслэл, сум, дүүргийн тухайн жилийн газар зохион байгуулалтын төлөвлөгөөнд газрын нэгдмэл сангийн ангиллын газарт нийтдээ 105575 байршилд 5641.2 мянган га газар төлөвлөснөөс жилийн эцсийн байдлаар нийт 5 7087 байршилд 4992. 1 мянган га газрыг өмчлүүлж, эзэмшүүлж, ашиглуулах, хамгаалах арга хэмжээг хэрэгжүүлсэн байна.
2023 оны газар зохион байгуулалтын төлөвлөгөөг дараах аймгууд хангалттай сайн хэрэгжүүлж ажилласан байна. Үүнд:
Газар зохион байгуулалт, төлөвлөлтийн цахим системээс 2023 оны тухайн жилийн газар зохион байгуулалтын төлөвлөгөөний хэрэгжилтийг үзэхэд Говьсүмбэр аймаг 91.56 хувь, Архангай аймаг 77.53 хувь, Булган аймаг 73.75 хувь, Завхан аймаг 73.10 хувь, Увс аймаг 72.21 хувь, Өвөрхангай аймаг 71.46 хувь, Хэнтий аймаг 68.81 хувь, Орхон аймаг 68.24 хувь, Хөвсгөл аймаг 67.56 хувь, Говь-Алтай аймаг 67.12 хувь, Дорноговь аймаг 66.51 хувь, Баян-Өлгий аймаг 61.71 хувь, Өмнөговь аймаг 58.47 хувь, Сэлэнгэ аймаг 57.87 хувь, Төв аймаг 54.98 хувь, Баянхонгор аймаг 52.44 хувь, Дундговь аймаг 51.50 хувьтай хэрэгжүүлсэн байна.
Харин 50 хувиас доош хэрэгжилттэй Дархан-Уул аймаг 48.85 хувь, Улаанбаатар 47.12 хувь, Дорнод аймаг 40.87 хувь, Сүхбаатар аймаг 35.84 хувь, Ховд аймаг 34.85 хувьтай хэрэгжүүлсэн байна.
Хүснэгт 2. Тухайн жилийн газар зохион байгуулалтын төлөвлөгөөний хэрэгжилтийн байдал
|
Д/д |
Аймаг, нийслэл |
2023 онд төлөвлөсөн |
Төлөвлөгөөний дагуу хэрэгжсэн |
Хэрэгжилтийн хувь |
||
|
Нэгж талбарын тоо |
Нийт талбайн хэмжээ /га/ |
Нэгж талбарын тоо |
Талбайн хэмжээ /га/ |
|||
|
1 |
Архангай |
1825 |
455.88 |
1415 |
236.39 |
77.5 |
|
2 |
Баян-Өлгий |
2267 |
96043.45 |
1399 |
95679.67 |
61.7 |
|
3 |
Баянхонгор |
2164 |
1563221.59 |
1135 |
1547012.83 |
52.4 |
|
4 |
Булган |
3746 |
121825.02 |
2763 |
101540.28 |
73.8 |
|
5 |
Говь-Алтай |
1813 |
186496.56 |
1217 |
185920.85 |
67.1 |
|
6 |
Говьсүмбэр |
166 |
11104.13 |
152 |
11101.06 |
91.6 |
|
7 |
Дархан-Уул |
1883 |
1535.11 |
920 |
386.14 |
48.9 |
|
8 |
Дорноговь |
1568 |
1535576.52 |
1043 |
1499401.7 |
66.5 |
|
9 |
Дорнод |
2750 |
402385.3 |
1124 |
64973.39 |
40.9 |
|
10 |
Дундговь |
1295 |
490182.77 |
667 |
487255.35 |
51.5 |
|
11 |
Завхан |
1732 |
347969.92 |
1267 |
343412.68 |
73.1 |
|
12 |
Орхон |
1713 |
742.01 |
1169 |
452.21 |
68.2 |
|
13 |
Өвөрхангай |
2306 |
368561.78 |
1648 |
230221.3 |
71.5 |
|
14 |
Өмнөговь |
1452 |
8810.9 |
849 |
3307.2 |
58.5 |
|
15 |
Сүхбаатар |
2173 |
7234.82 |
779 |
1663.61 |
35.8 |
|
16 |
Сэлэнгэ |
6193 |
10240.3 |
3584 |
5481.32 |
57.9 |
|
17 |
Төв |
12272 |
199005.66 |
6748 |
171,765.32 |
55.0 |
|
18 |
Увс |
2642 |
96590.05 |
1908 |
90329.58 |
72.2 |
|
19 |
Ховд |
3067 |
4105.23 |
1069 |
2381 |
34.9 |
|
20 |
Хөвсгөл |
2821 |
24078.62 |
1906 |
20111.2 |
67.6 |
|
21 |
Хэнтий |
4104 |
155115.56 |
2824 |
126,530.23 |
68.8 |
|
22 |
Улаанбаатар |
45623 |
9,945.01 |
21501 |
2,505.22 |
47.1 |
|
Нийт |
105575 |
5641226.19 |
57087 |
4991668.53 |
54.1 |
|
График 6. Арга хэмжээний төрлөөр тухайн жилийн төлөвлөгөөний хэрэгжилтийг авч үзвэл:
Хүснэгт 3. Тухайн жилийн төлөвлөгөөг арга хэмжээний төрлөөр авч үзвэл:
|
Д/д |
Арга хэмжээний төрөл |
Төлөвлөсөн нэгж талбарын тоо |
Хэрэгжсэн нэгж талбарын тоо |
Хэрэгжилтийн хувь |
|
1 |
Төсөл сонгон шалгаруулалт |
207 |
81 |
39.13 |
|
2 |
Өргөдлийн дагуу олгох |
99600 |
54015 |
54.23 |
|
3 |
Нөхөн сэргээх, хамгаалах |
1256 |
857 |
68.23 |
|
4 |
Нийтийн эдэлбэр газрын төлөвлөлт |
1537 |
747 |
48.6 |
|
5 |
Дуудлага худалдаагаар олгох |
2805 |
1295 |
46.16 |
|
6 |
Газар чөлөөлөх |
170 |
92 |
54.11 |
|
Нийт |
105575 |
57087 |
54.07 |
|
Хүснэгт 4. Сүүлийн 3 жилийн газар зохион байгуулалтын төлөвлөгөөний хэрэгжилтийг хувиар харьцуулан харуулбал:
|
Д/д |
Аймаг, нийслэлийн нэр |
2021 он |
2022 он |
2023 он |
|
1 |
Архангай |
60.13 |
37.67 |
77.5 |
|
2 |
Баян-Өлгий |
35.74 |
44.22 |
61.7 |
|
3 |
Баянхонгор |
12.14 |
28.09 |
52.4 |
|
4 |
Булган |
68.28 |
71.08 |
73.8 |
|
5 |
Говь-Алтай |
59.16 |
65.65 |
67.1 |
|
6 |
Говьсүмбэр |
78.38 |
90.82 |
91.6 |
|
7 |
Дархан-Уул |
47.74 |
67.2 |
48.9 |
|
8 |
Дорноговь |
48.32 |
69.31 |
66.5 |
|
9 |
Дорнод |
50.04 |
26.23 |
40.9 |
|
10 |
Дундговь |
58.46 |
67.07 |
51.5 |
|
11 |
Завхан |
52.62 |
68.66 |
73.1 |
|
12 |
Орхон |
49.47 |
44.44 |
68.2 |
|
13 |
Өвөрхангай |
20.99 |
18.13 |
71.5 |
|
14 |
Өмнөговь |
16.29 |
52.41 |
58.5 |
|
15 |
Сүхбаатар |
30.74 |
33.83 |
35.8 |
|
16 |
Сэлэнгэ |
28.45 |
66.84 |
57.9 |
|
17 |
Төв |
20.54 |
42.85 |
55 |
|
18 |
Увс |
42.05 |
58.03 |
72.2 |
|
19 |
Ховд |
58.78 |
46.24 |
34.9 |
|
20 |
Хөвсгөл |
60.79 |
69.76 |
67.6 |
|
21 |
Хэнтий |
80.42 |
80.19 |
68.8 |
|
22 |
Улаанбаатар |
61.53 |
48.7 |
47.1 |
|
Нийт |
42.41 |
54.42 |
54.1 |
|
График 7. Сүүлийн 3 жилийн газар зохион байгуулалтын төлөвлөгөөний хэрэгжилтийг зургаар харуулбал (хувиар):
Хот, тосгон, бусад суурины газрын 2023 оны тухайн жилийн газар зохион байгуулалтын төлөвлөгөөний хэрэгжилт
Улсын хэмжээнд нийслэл, сум, дүүргийн газар зохион байгуулалтын 2023 оны төлөвлөгөөнд хот, тосгон, бусад суурины ангиллын газарт нийт 88198 байршилд 69.43 мянган га газрыг төлөвлөснөөс жилийн эцсийн байдлаар нийт 46974 байршилд 42.28 мянган га газрыг өмчлүүлж, эзэмшүүлж, ашиглуулж, хамгаалах арга хэмжээг хэрэгжүүлсэн байна.
Хүснэгт 5. Хот, тосгон, бусад суурины газрын 2023 оны төлөвлөгөөний хэрэгжилтийг аймаг, нийслэлээр харуулбал:
|
Д/д |
Аймаг, нийслэл |
2023 онд төлөвлөсөн |
Төлөвлөгөөний дагуу хэрэгжсэн |
Хэрэгжилтийн хувь |
||
|
Нийт нэгж талбар |
Нийт талбайн хэмжээ /га/ |
Нэгж талбарын тоо |
Талбайн хэмжээ /га/ |
|||
|
1 |
065: Архангай |
951 |
330.23 |
702 |
179.15 |
73.81 |
|
2 |
064: Баянхонгор |
1597 |
12,864.49 |
805 |
8,675.50 |
50.4 |
|
3 |
083: Баян-Өлгий |
1738 |
144.48 |
1202 |
95.97 |
69.15 |
|
4 |
063: Булган |
3144 |
2,859.02 |
2368 |
2,721.28 |
75.31 |
|
5 |
082: Говь-Алтай |
1079 |
225.01 |
587 |
57.77 |
54.4 |
|
6 |
042: Говьсүмбэр |
135 |
297.23 |
121 |
294.17 |
89.6 |
|
7 |
045: Дархан-Уул |
1459 |
1033.71 |
669 |
153.54 |
45.85 |
|
8 |
044: Дорноговь |
1338 |
1672.15 |
894 |
1436.64 |
66.81 |
|
9 |
021: Дорнод |
1103 |
4418.15 |
447 |
632.21 |
40.52 |
|
10 |
048: Дундговь |
973 |
5057.73 |
419 |
3807.7 |
43.06 |
|
11 |
081: Завхан |
975 |
195.32 |
800 |
125.39 |
82.05 |
|
12 |
062: Өвөрхангай |
1330 |
4121.87 |
1016 |
3810.93 |
76.39 |
|
13 |
046: Өмнөговь |
1096 |
2317.85 |
619 |
1890.58 |
56.47 |
|
14 |
061: Орхон |
1611 |
635.2 |
1089 |
394.83 |
67.59 |
|
15 |
022: Сүхбаатар |
1673 |
1759.61 |
689 |
1594.9 |
41.18 |
|
16 |
043: Сэлэнгэ |
4912 |
1084.7 |
2719 |
585.62 |
55.35 |
|
17 |
041: Төв |
10321 |
13624.43 |
5690 |
8321.89 |
55.15 |
|
18 |
085: Увс |
1565 |
4273.71 |
1176 |
3906.62 |
75.14 |
|
19 |
084: Ховд |
1951 |
763.97 |
428 |
361.07 |
21.93 |
|
20 |
067: Хөвсгөл |
1446 |
2472.66 |
978 |
322.16 |
67.63 |
|
21 |
023: Хэнтий |
2636 |
475.27 |
1891 |
358.24 |
71.73 |
|
22 |
011:Улаанбаатар |
45165 |
8352.02 |
21665 |
2556.5 |
47.9 |
|
Нийт |
88198 |
68978.81 |
46974 |
42282.66 |
53.25 |
|
Дээрх хүснэгтээс үзэхэд Говьсүмбэр аймаг 89.6 хувь, Завхан аймаг 81,05 хувь, Өвөрхангай аймаг 76.39 хувь, Булган аймаг 75.31 хувь, Увс аймаг 75.14 хувь, Архангай аймаг 73.81 хувь, Хэнтий аймаг 71.73 хувь, Баян-Өлгий аймаг 69.15 хувь, Хөвсгөл 67.63 хувь, Орхон аймаг 67.59 хувь, Дорноговь аймаг 66.81 хувиар газар зохион байгуулалтын тухайн жилийн төлөвлөгөөгөө хангалттай сайн биелүүлсэн байна.
Харин Ховд аймгийн хэмжээнд газар зохион байгуулалтын төлөвлөгөөний тус ангиллын газар 21.93 хувьтай хэрэгжсэн байх бөгөөд гэр бүлийн хэрэгцээний зориулалтаар эзэмшиж байгаа газрыг өмчлөх, гэр орон сууцны хашааны зориулалтаар эзэмшүүлэх газрын биелэлт хангалтгүй, Дорнод аймаг 40.52 хувьтай хэрэгжүүлсэн бөгөөд орон сууцны зориулалтаар олгох газар, худалдаа үйлчилгээний зориулалтаар олгох газар, ИААНБ дуудлага худалдаагаар эзэмшүүлэх, ухагдаж эвдэрсэн газрыг эргүүлэн дарж булах арга хэмжээнүүд хэрэгжээгүй нь байна.
График 8. Хот, тосгон, бусад суурины газрын 2023 оны төлөвлөгөөний хэрэгжилт, байршлын тоогоор:
График 9. Хот, тосгон бусад суурины газрын 2023 оны төлөвлөгөөний хэрэгжилтийг газрын хэмжээгээр харуулбал (га-гаар)
Хөдөө аж ахуйн газрын 2023 оны тухайн жилийн газар зохион байгуулалтын төлөвлөгөөний хэрэгжилт
Улсын хэмжээнд сумдын газар зохион байгуулалтын 2023 оны төлөвлөгөөний хөдөө аж ахуйн ангиллын газарт нийт 15661 га байршил бүхий 4.9 сая га газрыг төлөвлөснөөс 9533 байршилд 4.3 сая га газрыг эзэмшүүлэх болон хамгаалах , нөхөн сэргээх арга хэмжээг хэрэгжүүлсэн байна.
Хүснэгт 6. Хөдөө аж ахуйн ангиллын газрын 2023 оны газар зохион байгуулалтын төлөвлөгөөний хэрэгжилтийн байдал
|
Д/д |
Аймаг, нийслэл |
2023 онд төлөвлөсөн |
Төлөвлөгөөний дагуу хэрэгжсэн |
Хэрэгжилтийн хувь |
||
|
Нийт нэгж талбар |
Нийт талбайн хэмжээ /га/ |
Нэгж талбарын тоо |
Талбайн хэмжээ /га/ |
|||
|
1 |
065: Архангай |
871 |
122.48 |
712 |
57.18 |
81.74 |
|
2 |
064: Баянхонгор |
532 |
1,549,844.00 |
317 |
1,539,732.00 |
59.58 |
|
3 |
083: Баян-Өлгий |
512 |
95,631.99 |
194 |
95577.5 |
37.89 |
|
4 |
063: Булган |
535 |
76,180.38 |
350 |
56,167.20 |
65.42 |
|
5 |
082: Говь-Алтай |
697 |
160,299.90 |
603 |
160,203.10 |
86.51 |
|
6 |
042: Говьсүмбэр |
31 |
10806.9 |
31 |
10806.9 |
100 |
|
7 |
045: Дархан-Уул |
123 |
160.86 |
69 |
49.37 |
59.06 |
|
8 |
044: Дорноговь |
161 |
1532918 |
133 |
1497549 |
82.6 |
|
9 |
021: Дорнод |
1538 |
391,441.60 |
671 |
61352.08 |
43.62 |
|
10 |
048: Дундговь |
281 |
2,144.31 |
220 |
3,120.33 |
78.29 |
|
11 |
081: Завхан |
665 |
308,684.60 |
433 |
305,686.40 |
65.11 |
|
12 |
062: Өвөрхангай |
918 |
363417 |
598 |
225701.6 |
65.14 |
|
13 |
046: Өмнөговь |
248 |
195.04 |
152 |
55.45 |
61.29 |
|
14 |
061: Орхон |
100 |
63.69 |
79 |
54.37 |
79 |
|
15 |
022: Сүхбаатар |
476 |
5290.54 |
75 |
53.91 |
15.75 |
|
16 |
043: Сэлэнгэ |
1173 |
7,733.22 |
831 |
4,788.92 |
70.84 |
|
17 |
041: Төв |
1854 |
171,879.09 |
1015 |
155,469.20 |
54.74 |
|
18 |
085: Увс |
875 |
84,618.12 |
563 |
79,293.42 |
64.34 |
|
19 |
084: Ховд |
975 |
2397.12 |
569 |
1518.39 |
58.35 |
|
20 |
067: Хөвсгөл |
1337 |
20540.19 |
915 |
19780.76 |
68.443 |
|
21 |
023: Хэнтий |
1435 |
151857 |
910 |
124549 |
63.41 |
|
22 |
011:Улаанбаатар |
324 |
825.93 |
93 |
236.09 |
37.5 |
|
Нийт |
15661 |
4937051.96 |
9533 |
4341802.17 |
60.87 |
|
Газар зохион байгуулалтын 2023 оны төлөвлөгөөг хөдөө, аж ахуйн ангиллын газарт дараах аймгууд хангалттай сайн хэрэгжүүлсэн байна. Үүнд: Говьсүмбэр аймаг 100 хувь, Говь-Алтай аймаг 86.51 хувь, Архангай аймаг 81.74 хувь, Дорноговь аймаг 82.6 хувь, Орхон аймаг 79 хувь, Дундговь аймаг 78.29 хувь, Сэлэнгэ аймаг 70.84 хувьтай тус тус хангалттай сайн хэрэгжүүлэн ажилласан байна.
Сүхбаатар аймаг Өвөлжөө, хаваржааны доорх газрыг эзэмшүүлэх нийт 452 байршилд 31.64 га газар төлөвлөснөөс 55 байршилд 3.85 га газрыг эзэмшүүлж, 12.17 хувийн хэрэгжилттэй байна. Иймд тухайн жилийн газар зохион байгуулалтын төлөвлөгөөг боловсруулахдаа суурин болон хээрийн судалгааны ажлыг үнэн бодитойгоор хийж, төлөвлөгөөг боловсруулах шаардлагатай байна.
Улсын хэмжээнд хөдөө, аж ахуйн ангиллын газрын хэрэгжилт 60.87 хувьтай байна.
График 10. Хөдөө аж ахуйн газрын 2023 оны төлөвлөгөөний хэрэгжилтийг газрын хэмжээгээр, га-гаар
Хүснэгт 7. Газар зохион байгуулалтын төлөвлөгөөний хөдөө, аж ахуйн ангилалын газрын сүүлийн 3 жилийн хэрэгжилтийг хувиар харуулбал:
|
Д/д |
Аймаг, нийслэлийн нэр |
2021 он |
2022 он |
2023 он |
|
1 |
Архангай |
1.59 |
61.33 |
81.74 |
|
2 |
Баянхонгор |
45.63 |
63.04 |
59.58 |
|
3 |
Баян-Өлгий |
15.13 |
17.13 |
37.89 |
|
4 |
Булган |
75.1 |
66.36 |
65.42 |
|
5 |
Говь-Алтай |
80.45 |
87.5 |
86.51 |
|
6 |
Говьсүмбэр |
0 |
60 |
100 |
|
7 |
Дархан-Уул |
73.91 |
63.41 |
59.06 |
|
8 |
Дорнод |
51.53 |
93.45 |
82.6 |
|
9 |
Дорноговь |
94.96 |
32.78 |
43.62 |
|
10 |
Дундговь |
44.37 |
74.93 |
78.29 |
|
11 |
Завхан |
33 |
61.86 |
65.11 |
|
12 |
Орхон |
88.89 |
77.16 |
65.14 |
|
13 |
Өвөрхангай |
55.91 |
39.51 |
61.29 |
|
14 |
Өмнөговь |
53.17 |
56.14 |
79 |
|
15 |
Сүхбаатар |
31.05 |
55.26 |
15.75 |
|
16 |
Сэлэнгэ |
31.55 |
66.23 |
70.84 |
|
17 |
Төв |
15.31 |
54.29 |
54.74 |
|
18 |
Увс |
42.42 |
54.32 |
64.34 |
|
19 |
Ховд |
59.4 |
56.3 |
58.35 |
|
20 |
Хөвсгөл |
48.99 |
77.75 |
68.443 |
|
21 |
Хэнтий |
78.89 |
87.6 |
63.41 |
|
22 |
Улаанбаатар |
36.21 |
37.5 |
37.5 |
|
Нийт |
50.28 |
61.08 |
60.87 |
|
График 11. Хөдөө аж ахуйн газрын ангилалын тухайн жилийн газар зохион байгуулалтын төлөвлөгөөний сүүлийн 3 жилийн хэрэгжилт (хувиар)
Зам, шугам сүлжээний газрын 2023 оны тухайн жилийн газар зохион байгуулалтын төлөвлөгөөний хэрэгжилт
Газар зохион байгуулалтын 2023 оны төлөвлөгөөнд нийт 420 байршилд 151.83 мянган га газар төлөвлөснөөс жилийн эцсийн байдлаар 225 байршилд 148.83 мянган га газрыг ашиглуулж, хамгаалснаар улсын хэмжээнд зам, шугам сүлжээний ангиллын газрын төлөвлөгөөний хэрэгжилт 53.57 хувьтай байна.
Хүснэгт 8. Зам, шугам сүлжээний газрын 2023 оны газар зохион байгуулалтын төлөвлөгөөний хэрэгжилтийн байдал
|
Д/д |
Аймаг, нийслэл |
2023 онд төлөвлөсөн |
Төлөвлөгөөний дагуу хэрэгжсэн |
Хэрэгжилтийн хувь |
||
|
Нийт нэгж талбар |
Нийт талбайн хэмжээ /га/ |
Нэгж талбарын тоо |
Талбайн хэмжээ /га/ |
|||
|
1 |
065: Архангай |
2 |
3.15 |
1 |
0.04 |
50 |
|
2 |
064: Баянхонгор |
13 |
352.63 |
6 |
2.39 |
46.15 |
|
3 |
083: Баян-Өлгий |
7 |
262.19 |
2 |
1.16 |
28.57 |
|
4 |
063: Булган |
13 |
0.4 |
6 |
0.19 |
46.15 |
|
5 |
082: Говь-Алтай |
22 |
2040.29 |
17 |
1660.21 |
77.27 |
|
6 |
045: Дархан-Уул |
23 |
4.7 |
13 |
4.2 |
56.52 |
|
7 |
044: Дорноговь |
60 |
459.14 |
38 |
191.01 |
63.33 |
|
8 |
021: Дорнод |
4 |
1.87 |
1 |
0.05 |
25 |
|
9 |
048: Дундговь |
22 |
145,383.30 |
15 |
145340.4 |
68.18 |
|
10 |
081: Завхан |
10 |
42.8 |
10 |
42.8 |
100 |
|
11 |
062: Өвөрхангай |
30 |
989.64 |
16 |
682.72 |
53.33 |
|
12 |
046: Өмнөговь |
44 |
611.33 |
34 |
396.02 |
77.27 |
|
13 |
022: Сүхбаатар |
4 |
0.08 |
2 |
0.08 |
50 |
|
14 |
043: Сэлэнгэ |
23 |
775.88 |
8 |
44.15 |
34.78 |
|
15 |
041: Төв |
41 |
186.2 |
21 |
155.3 |
51.21 |
|
16 |
085: Увс |
20 |
96.35 |
5 |
2.26 |
25 |
|
17 |
084: Ховд |
15 |
610.59 |
6 |
298.38 |
40 |
|
18 |
067: Хөвсгөл |
17 |
0.18 |
6 |
0.1 |
35.29 |
|
19 |
023: Хэнтий |
4 |
0.05 |
2 |
0.03 |
50 |
|
20 |
011:Улаанбаатар |
46 |
17.66 |
16 |
14.7 |
37.2 |
|
Нийт |
420 |
151838.43 |
225 |
148836.19 |
53.57 |
|
Тухайн жилийн газар зохион байгуулалтын төлөвлөгөөний зам, шугам сүлжээний ангиллын газарт Завхан аймаг 100 хувь, Өмнөговь аймаг 77.27 хувь, Говь-Алтай аймаг 77.27 хувь, Дундговь аймаг 68.18 хувь, Дорноговь аймаг 63.33 хувь, Дархан-Уул аймаг 56.52 хувь, Өвөрхангай аймаг 53.33 хувь, Төв аймаг 51.21 хувь, Архангай аймаг 50 хувь, Сүхбаатар аймаг 50 хувь, Хэнтий аймаг 50 хувьтай хангалттай сайн хэрэгжүүлсэн байна.
Харин Дорнод аймаг 25 хувийн хэрэгжилттэй байх бөгөөд шинээр барих, өргөтгөх дулаан дамжуулах хоолойн төлөвлөлт, эрчим хүчний барилга байгууламжийн зориулалтаар ашиглах газрын төлөвлөлт, Увс аймаг 25 хувьтай, холбоо, мэдээлэл дамжуулах хүлээн авах шугам, станцын хамгаалалтын бүс тус тус төлөвлөсөн боловч хангалттай сайн хэрэгжээгүй байна.
График 12. Зам, шугам сүлжээний зориулалтаар ашиглуулах, хамгаалах газрын 2023 оны төлөвлөгөөний хэрэгжилт газрын хэмжээгээр /га-гаар/
Ойн сан бүхий газрын 2023 оны тухайн жилийн газар зохион байгуулалтын төлөвлөгөөний хэрэгжилт
Газар зохион байгуулалтын 2023 оны төлөвлөгөөнд нийт 831 байршилд 53.62 мянган га газар төлөвлөснөөс жилийн эцсийн байдлаар 404 байршилд 2.18 мянган га газрыг ашиглуулж, хамгаалснаар улсын хэмжээнд ойн сан бүхий газрын ангиллын төлөвлөгөөний хэрэгжилт 48.61 хувьтай байна.
Хүснэгт 9. Ойн сан бүхий газрын 2023 оны газар зохион байгуулалтын төлөвлөгөөний хэрэгжилтийн байдал:
|
Д/д |
Аймаг, нийслэл |
2023 онд төлөвлөсөн |
Төлөвлөгөөний дагуу хэрэгжсэн |
Хэрэгжилтийн хувь |
||
|
Нийт нэгж талбар |
Нийт талбайн хэмжээ /га/ |
Нэгж талбарын тоо |
Талбайн хэмжээ /га/ |
|||
|
1 |
064: Баянхонгор |
10 |
18.62 |
4 |
8.74 |
40 |
|
2 |
083: Баян-Өлгий |
10 |
5.13 |
1 |
4.73 |
10 |
|
3 |
063: Булган |
33 |
42651.41 |
23 |
0.19 |
46.15 |
|
4 |
082: Говь-Алтай |
7 |
39.19 |
7 |
39.19 |
100 |
|
5 |
045: Дархан-Уул |
276 |
333.87 |
169 |
179.04 |
61.23 |
|
6 |
044: Дорноговь |
4 |
26.16 |
4 |
26.16 |
100 |
|
7 |
021: Дорнод |
19 |
3012.17 |
0 |
0 |
0 |
|
8 |
048: Дундговь |
5 |
102.57 |
2 |
2.67 |
40 |
|
9 |
081: Завхан |
48 |
265.28 |
7 |
55.49 |
14.58 |
|
10 |
062: Өвөрхангай |
16 |
28.94 |
7 |
21.71 |
43.75 |
|
11 |
046: Өмнөговь |
56 |
4925.26 |
39 |
957.01 |
69.64 |
|
12 |
061: Орхон |
2 |
43.11 |
1 |
2.99 |
50 |
|
13 |
022: Сүхбаатар |
4 |
113.93 |
0 |
0 |
0 |
|
14 |
043: Сэлэнгэ |
74 |
570.88 |
24 |
57.11 |
32.43 |
|
15 |
041: Төв |
26 |
140.74 |
3 |
11.9 |
11.53 |
|
16 |
085: Увс |
23 |
200.72 |
20 |
197.89 |
86.95 |
|
17 |
084: Ховд |
126 |
333.54 |
66 |
203.16 |
52.38 |
|
18 |
067: Хөвсгөл |
7 |
23.56 |
6 |
6.34 |
85.71 |
|
19 |
023: Хэнтий |
12 |
382.23 |
9 |
350.68 |
75 |
|
20 |
011:Улаанбаатар |
73 |
409.86 |
12 |
56.56 |
16.43 |
|
Нийт |
831 |
53627.17 |
404 |
2181.56 |
48.61 |
|
2023 оны тухайн жилийн газар зохион байгуулалтын төлөвлөгөөний ойн сан бүхий газрын ангиллын газарт дараах аймгууд хангалттай сайн хэрэгжүүлсэн байна. Үүнд: Говь-Алтай аймаг 100 хувь, Дорноговь аймаг 100 хувь, Увс аймаг 86.95, Хөвсгөл аймаг 85.71 хувь, Хэнтий аймаг 75 хувь, Өмнөговь аймаг 69.64 хувь, Дархан-Уул аймаг 61.23 хувь, хангалттай сайн хэрэгжүүлсэн байна.
Харин Дорнод аймаг өвчин, хортон шавьжтай тэмцэх ой бүхий газар, нөхөн сэргээх ойн талбай, Сүхбаатар аймаг мод үржүүлгийн газар байгуулахад тохиромжтой газар, тариалангийн талбайг хамгаалах ойн зурвас байгуулах газар, мод үржүүлгийн газар байгуулах газар тус тус төлөвлөсөн боловч хэрэгжээгүй байна.
Архангай аймаг, Говьсүмбэр аймаг ойн сан бүхий газрын ангилалд арга хэмжээ төлөвлөөгүй байна.
График 13. Ойн сан бүхий газрын зориулалтаар ашиглуулах, хамгаалах газрын 2023 оны төлөвлөгөөний хэрэгжилт газрын хэмжээгээр /га-гаар/
Усны сан бүхий газрын 2023 оны газар зохион байгуулалтын төлөвлөгөөний хэрэгжилт
Газар зохион байгуулалтын 2023 оны төлөвлөгөөнд нийт 59 байршилд 1.7 мянган га газар төлөвлөснөөс жилийн эцсийн байдлаар 37 байршилд 1.3 мянган га газарт хамгаалах арга хэмжээ хэрэгжүүлснээр улсын хэмжээнд усны сан бүхий газрын ангиллын төлөвлөгөөний хэрэгжилт 62.71 хувьтай байна.
Хүснэгт 10. Усны сан бүхий газрын 2023 оны газар зохион байгуулалтын төлөвлөгөөний хэрэгжилтийн байдал:
|
Д/д |
Аймаг, нийслэл |
2023 онд төлөвлөсөн |
Төлөвлөгөөний дагуу хэрэгжсэн |
Хэрэгжилтийн хувь |
||
|
Нийт нэгж талбар |
Нийт талбайн хэмжээ /га/ |
Нэгж талбарын тоо |
Талбайн хэмжээ /га/ |
|||
|
1 |
064: Баянхонгор |
4 |
92.95 |
4 |
92.95 |
100 |
|
2 |
063: Булган |
12 |
91.58 |
9 |
0.25 |
75 |
|
3 |
082: Говь-Алтай |
2 |
0.63 |
2 |
0.63 |
100 |
|
4 |
021: Дорнод |
4 |
0.73 |
4 |
0.73 |
100 |
|
5 |
048: Дундговь |
1 |
126.28 |
0 |
0 |
0 |
|
6 |
062: Өвөрхангай |
8 |
1.36 |
7 |
1.31 |
87.5 |
|
7 |
022: Сүхбаатар |
1 |
53.89 |
0 |
0 |
0 |
|
8 |
043: Сэлэнгэ |
2 |
4.22 |
0 |
0 |
0 |
|
9 |
041: Төв |
3 |
0.21 |
0 |
0 |
0 |
|
10 |
067: Хөвсгөл |
1 |
1.91 |
1 |
1.91 |
100 |
|
11 |
023: Хэнтий |
13 |
1265.98 |
10 |
1265.01 |
76.92 |
|
12 |
011:Улаанбаатар |
8 |
70.58 |
0 |
0 |
0 |
|
Нийт |
59 |
1710.32 |
37 |
1362.79 |
62.71 |
|
2023 оны тухайн жилийн газар зохион байгуулалтын төлөвлөгөөний усны сан бүхий газрын ангилалд дараах аймгууд хангалттай сайн хэрэгжүүлсэн байна. Үүнд: Баянхонгор аймаг 100 хувь, Говь-Алтай аймаг 100 хувь, Дорнод аймаг 100 хувь, Хөвсгөл аймаг 100 хувь, Өвөрхангай аймаг 87.5 хувь, Хэнтий аймаг 76.92 хувь, Булган аймаг 75 хувь хангалттай сайн хэрэгжүүлсэн байна.
Харин Дундговь аймаг усны эх булаг, эрэг орчмын газрыг хашиж хамгаалах, Сүхбаатар аймаг усны эх булаг, эрэг орчмын газрыг хашиж хамгаалах, Сэлэнгэ аймаг усны эх булаг, эрэг орчмын газрыг хашиж хамгаалах, хиймэл нуур, хөв, цөөрөм байгуулах газрын төлөвлөлт, Төв аймаг усан сан бүхий газрын хамгаалалтын бүс дэх зөвшөөрөгдсөн газар ашиглалт, Улаанбаатарт ус хангамжийн эх үүсвэр, рашааны орд, эх булгийн эрүүл ахуйн бүс тус тус төлөвлөсөн боловч хэрэгжээгүй байна.
Иймд тухайн жилийн төлөвлөгөө боловсруулахдаа суурин болон хээрийн судалгааны ажлыг оновчтой, үнэн, бодит төлөвлөх, хамгаалах арга хэмжээний зардлыг орон нутгийн төсөвт тусган шийдвэрлэж, газар зохион байгуулалт, төлөвлөлтийн цахим системд хамгаалах арга хэмжээний хэрэгжилтийг бүрэн гүйцэт оруулж хэвших шаардлагатай байна.
График 14. Усны сан бүхий газрын зориулалтаар ашиглуулах, хамгаалах газрын 2023 оны төлөвлөгөөний хэрэгжилт газрын хэмжээгээр /га-гаар/
Дээрх төлөвлөгөөний хэрэгжилтийг газрын талбайн хэмжээгээр харуулсан зургаас үзэхэд Баянхонгор аймаг 4 байршилд 567.59 га газар төлөвлөснөөс 1 байршилд 567.16 га газарт усан сан бүхий газрын энгийн хамгаалалтын бүсийг байгуулснаар талбайн хэмжээний биелэлт хангалттай боловч төлөвлөгөөнд тусгагдсан 3 байршилд хамгаалах арга хэмжээ хийгдээгүй тул хэрэгжилт хангалтгүй үзүүлэлттэй гарч байна. Иймд төлөвлөгөөний төслийг боловсруулахад хээрийн судалгааны ажлыг аргачлалын дагуу гүйцэтгэх нь зүйтэй юм.
Тусгай хэрэгцээний газрын 2023 оны газар зохион байгуулалтын төлөвлөгөөний хэрэгжилт
Газар зохион байгуулалтын 2023 оны төлөвлөгөөнд нийт 177 байршилд 1.7 мянган га газар төлөвлөснөөс жилийн эцсийн байдлаар 46 байршилд 0.08 мянган га газрыг эзэмшүүлэх, ашиглуулах, өмчлүүлэх, хамгаалах арга хэмжээ хэрэгжүүлснээр улсын хэмжээнд тусгай хэрэгцээний газрын ангиллын төлөвлөгөөний хэрэгжилт 61.63 хувьтай байна.
Хүснэгт 11.Тусгай хэрэгцээний газрын 2023 оны газар зохион байгуулалтын төлөвлөгөөний хэрэгжилтийн байдал
|
Д/д |
Аймаг, нийслэл |
2023 онд төлөвлөсөн |
Төлөвлөгөөний дагуу хэрэгжсэн |
Хэрэгжилтийн хувь |
||
|
Нийт нэгж талбар |
Нийт талбайн хэмжээ /га/ |
Нэгж талбарын тоо |
Талбайн хэмжээ /га/ |
|||
|
1 |
064: Баянхонгор |
8 |
48.74 |
4 |
3.24 |
50 |
|
2 |
063: Булган |
9 |
42.22 |
7 |
41.22 |
77.77 |
|
3 |
082: Говь-Алтай |
5 |
1.65 |
0 |
0 |
0 |
|
4 |
045: Дархан-Уул |
2 |
1.98 |
0 |
0 |
0 |
|
5 |
044: Дорноговь |
1 |
0.91 |
0 |
0 |
0 |
|
6 |
021: Дорнод |
71 |
65.56 |
0 |
0 |
0 |
|
7 |
048: Дундговь |
2 |
1384.31 |
0 |
0 |
0 |
|
8 |
081: Завхан |
29 |
15.8 |
14 |
9.58 |
48.28 |
|
9 |
062: Өвөрхангай |
3 |
3 |
3 |
3 |
100 |
|
10 |
046: Өмнөговь |
6 |
10.16 |
5 |
9.16 |
83.33 |
|
11 |
022: Сүхбаатар |
2 |
2.06 |
0 |
0 |
0 |
|
12 |
043: Сэлэнгэ |
9 |
71.35 |
2 |
5.53 |
22.22 |
|
13 |
041: Төв |
15 |
30.8 |
8 |
13.8 |
53.33 |
|
14 |
085: Увс |
8 |
21.7 |
1 |
0.02 |
12.5 |
|
15 |
067: Хөвсгөл |
4 |
3.01 |
0 |
0 |
0 |
|
16 |
011:Улаанбаатар |
3 |
2.86 |
2 |
2 |
66.66 |
|
Нийт |
177 |
1706.11 |
46 |
87.55 |
25.98 |
|
Тухайн жилийн газар зохион байгуулалтын төлөвлөгөөний Тусгай хэрэгцээний газрын ангиллын газрын биелэлтийг үзэхэд Өвөрхангай аймаг 100 хувь, Өмнөговь аймаг 83.33 хувь, Булган аймаг 77.77 хувь, Улаанбаатар 66.66 хувь, Төв аймаг 53.33 хувь, Завхан аймаг 48.28 хувь, хангалттай сайн хэрэгжүүлсэн байна.
Харин Говь-Алтай, Дархан-Уул, Дорноговь, Дорнод, Дундговь, Сүхбаатар, Хөвсгөл аймгууд төлөвлөсөн арга хэмжээнээсээ хэрэгжүүлээгүй байна.
График 15. Тусгай хэрэгцээний газрын зориулалтаар эзэмшүүлж, ашиглуулж, өмчлүүлж, хамгаалсан арга хэмжээний 2023 оны төлөвлөгөөний хэрэгжилт газрын хэмжээгээр /га-гаар/
2024 ОНЫ ТУХАЙН ЖИЛИЙН ГАЗАР ЗОХИОН БАЙГУУЛАЛТЫН ТӨЛӨВЛӨГӨӨ
Улсын хэмжээнд нийт 330 сум, 9 дүүргээс 2023 оны 01 дугаар сарын 19-ны өдрийн байдлаар газар зохион байгуулалт, хот төлөвлөлтийн цахим системээс тухайн жилийн газар зохион байгуулалтын төлөвлөгөө боловсруулсан байдлыг үзэхэд төлөвлөгөөгөө баталсан 263 сум, баталгаажуулах шатанд 39, төсөл боловсруулах шатанд 38 байна.
Зураг 4. Газар зохион байгуулалтын төлөвлөгөөний явцыг зургаар харуулбал:
Хүснэгт 12.Тухайн жилийн газар зохион байгуулалтын төлөвлөгөөний төсөл үүсгэсэн байдлыг аймаг, нийслэлээр харуулбал:
|
Д/д |
Аймаг, нийслэлийн нэр |
Сум, дүүргийн тоо |
Төлөвлөгөөний явц |
|
||||
|
Батлагдсан |
Баталгаажуулах |
Төсөл боловсруулах |
Төсөл үүсгээгүй |
|
||||
|
|
|
|||||||
|
1 |
Архангай |
19 |
16 |
- |
3 |
- |
|
|
|
2 |
Баян-Өлгий |
13 |
10 |
- |
3 |
- |
|
|
|
3 |
Баянхонгор |
20 |
20 |
- |
- |
- |
|
|
|
4 |
Булган |
16 |
16 |
- |
- |
- |
|
|
|
5 |
Говь-Алтай |
18 |
18 |
- |
- |
- |
|
|
|
6 |
Говьсүмбэр |
3 |
2 |
1 |
- |
- |
|
|
|
7 |
Дархан-Уул |
4 |
4 |
- |
- |
- |
|
|
|
8 |
Дорноговь |
14 |
13 |
1 |
- |
- |
|
|
|
9 |
Дорнод |
14 |
13 |
1 |
- |
- |
|
|
|
10 |
Дундговь |
15 |
15 |
- |
- |
- |
|
|
|
11 |
Завхан |
24 |
22 |
1 |
1 |
- |
|
|
|
12 |
Орхон |
2 |
2 |
- |
- |
- |
|
|
|
13 |
Өвөрхангай |
19 |
19 |
- |
- |
- |
|
|
|
14 |
Өмнөговь |
15 |
15 |
- |
- |
- |
|
|
|
15 |
Сүхбаатар |
13 |
6 |
3 |
4 |
- |
|
|
|
16 |
Сэлэнгэ |
17 |
8 |
9 |
- |
- |
|
|
|
17 |
Төв |
27 |
- |
19 |
8 |
- |
|
|
|
18 |
Увс |
19 |
15 |
1 |
3 |
- |
|
|
|
19 |
Ховд |
17 |
3 |
4 |
10 |
- |
|
|
|
20 |
Хөвсгөл |
23 |
23 |
- |
- |
- |
|
|
|
21 |
Хэнтий |
18 |
17 |
- |
1 |
- |
|
|
|
22 |
Улаанбаатар |
10 |
6 |
- |
4 |
- |
|
|
|
|
Нийт |
340 |
263 |
40 |
37 |
- |
|
|
Улсын хэмжээнд 2024 оны нийслэл, сум, дүүргийн газар зохион байгуулалтын тухайн жилийн төлөвлөгөөний баталсан болон боловсруулсан төслөөс үзэхэд газрын нэгдмэл сангийн ангилалд нийт 46966 байршилд 6.89 сая га газрыг эзэмшүүлэх, ашиглуулах, өмчлүүлэх, хамгаалах, нөхөн сэргээхээр төлөвлөсөн байна. Үүнээс хөдөө, аж ахуйн ангиллын газарт 10707 байршилд 6.45 сая га, хот, тосгон бусад суурины газарт 35269 байршилд 68.5 мянган га, зам, шугам сүлжээний газарт 404 байршилд 190.8 мянган га, ойн сан бүхий газарт 401 байршилд 64.6 мянган га, усны сан бүхий газарт 60 байршилд 1.31 мянган га, тусгай хэрэгцээний газарт 125 байршилд 110 мянган га газрыг тус тус төлөвлөсөн байна.
График 16. Газрын нэгдмэл сангийн ангиллаар тухайн жилийн газар зохион байгуулалтын төлөвлөгөөг харуулбал (нэгж талбарын тоогоор):
Дээрх графикаас үзэхэд тухайн жилийн газар зохион байгуулалтын төлөвлөгөөнд хот, тосгон бусад суурины ангиллын газарт 75.09 хувь, хөдөө, аж ахуйн ангиллын газарт 22.8 хувь, ойн сан бүхий ангиллын газарт 0.85 хувь, зам шугам сүлжээний ангиллын газарт 0.86 хувь, тусгай хэрэгцээний ангиллын газарт 0.27, усны сан бүхий ангиллын газарт 0.13 хувиар газар эзэмшүүлэх, ашиглуулах, өмчүүлэх, хамгаалах, нөхөн сэргээхээр тус тус төлөвлөсөн байна.
16.1.Монгол Улс тусгай хэрэгцээний газартай байна. Улсын тусгай хэрэгцээний газарт дараахь газар хамаарна:
16.1.1.улсын тусгай хамгаалалттай газар;
16.1.2.улсын хилийн зурвас газар;
16.1.3.улсын батлан хамгаалах болон аюулгүй байдлыг хангах зориулалтаар олгосон газар;
16.1.4.гадаад улсын дипломат төлөөлөгчийн болон консулын газар, олон улсын байгууллагын төлөөлөгчийн газарт олгосон газар;
16.1.5.шинжлэх ухаан, технологийн сорилт, туршилт болон байгаль орчин, цаг агаарын төлөв байдлын байнгын ажиглалтын талбай;
16.1.6.аймаг дундын отрын бэлчээр;
16.1.7.улсын тэжээлийн сангийн хадлангийн талбай;
16.1.8.бүтээгдэхүүн хуваах гэрээний дагуу хайгуулын зориулалтаар ашиглах газрын тосны гэрээт талбай;
16.1.9.чөлөөт бүсийн газар;
16.1.10.цөмийн төхөөрөмж барих, ашиглах зориулалтаар олгосон газар;
16.1.11.бичил уурхайн зориулалтаар олгосон газар;
16.1.12.хилийн боомтын бүс;
16.1.13.үндэсний хэмжээний томоохон бүтээн байгуулалт, дэд бүтцийн төсөл, хөтөлбөр болон төр, хувийн хэвшлийн түншлэлийн төсөл хэрэгжүүлэх газар;
16.1.14.аюултай хог хаягдлын төвлөрсөн байгууламж барих газар;
16.1.15.хамгаалалтын бүс тогтоосон түүх, соёлын дурсгалт газар.
16.1.16.үйлдвэрлэл, технологийн паркийн газар.
16.1.17. Нийтийн эдэлбэр газар
16.1.18. Нийслэл хотын эдийн засгийн тусгай бүс
|
2024 оны байдлаар улсын нийт нутаг дэвсгэрийн 32.6 хувь буюу 51 сая.га талбайг улсын тусгай хэрэгцээнд аваад байна. |
||||
|
|
|
Тусгай хэрэгцээний газрын мэдээлэл |
|
|
|
|
|
|
|
|
|
Д/д |
Газрын тухай хууль |
Тусгай хэрэгцээний газрын зориулалт |
Тоо |
Талбайн хэмжээ /га/ |
|
1 |
16.1.1 |
Улсын тусгай хамгаалалттай газар |
107 |
31402015.31 |
|
2 |
16.1.2 |
Улсын хилийн зурвас газар |
1 |
9244701.09 |
|
3 |
16.1.3 |
Улсын батлан хамгаалах болон аюулгүй байдлыг хангах зориулалтаар олгосон газар |
545 |
128953.16 |
|
4 |
16.1.4 |
Гадаад улсын дипломат төлөөлөгчийн болон консулын газар, олон улсын байгууллагын төлөөлөгчийн газарт олгосон газар |
21 |
22 |
|
5 |
16.1.5 |
Шинжлэх ухаан, технологийн сорилт, туршилт болон байгаль орчин, цаг агаарын төлөв байдлын байнгын ажиглалтын талбай |
290 |
12567.46 |
|
6 |
16.1.6 |
Аймаг дундын отрын бэлчээр |
9 |
10057595.54 |
|
7 |
16.1.7 |
Улсын тэжээлийн сангийн хадлангийн талбай |
- |
- |
|
8 |
16.1.8 |
Бүтээгдэхүүн хуваах гэрээний дагуу хайгуулын зориулалтаар ашиглах газрын тосны гэрээт талбай |
1 |
21392 |
|
9 |
16.1.9 |
Чөлөөт бүсийн газар |
3 |
2108.4 |
|
10 |
16.1.10 |
Цөмийн төхөөрөмж барих, ашиглах зориулалтаар олгосон газар |
- |
- |
|
11 |
16.1.11 |
Бичил уурхайн зориулалтаар олгосон газар |
- |
- |
|
12 |
16.1.12 |
Хилийн боомтын бүс |
- |
- |
|
13 |
16.1.13 |
Үндэсний хэмжээний томоохон бүтээн байгуулалт, дэд бүтцийн төсөл, хөтөлбөр болон төр, хувийн хэвшлийн түншлэлийн төсөл хэрэгжүүлэх газар |
19 |
813741.76 |
|
14 |
16.1.14 |
Аюултай хог хаягдлын төвлөрсөн байгууламж барих газар |
2 |
42 |
|
15 |
16.1.15 |
Хамгаалалтын бүс тогтоосон түүх, соёлын дурсгалт газар |
- |
- |
|
16 |
16.1.16 |
Үйлдвэрлэл, технологийн паркийн газар |
- |
- |
|
17 |
16.1.17 |
Нийтийн эдэлбэр газар |
- |
- |
|
18 |
16.1.18 |
Нийслэл хотын эдийн засгийн тусгай бүс |
- |
- |
|
|
|
|
998 |
51683138.72 |
МОНГОЛ УЛСЫН ЗАСАГ ЗАХИРГАА, НУТАГ ДЭВСГЭРИЙН
НЭГЖИЙН ХИЛИЙН ЦЭС
Улсын хэмжээнд засаг захиргаа, нутаг дэвсгэрийн нэгжийн хилийн цэсийг анх 1959 оны аж ахуй хоорондын газар зохион байгуулалтын ажлаар тогтоож Ардын Их Хурлын Тэргүүлэгчдийн 1960 оны 06 дугаар сарын 30-ны өдрийн 142 дугаар зарлигаар баталсан. Улмаар 1977 онд улсын хэмжээнд нийт аймаг, сумдын хилийн цэсийг газар дээр нь шинэчлэн тодотгосон материалыг үндэслэн Ардын Их Хурлын Тэргүүлэгчдийн 1977 оны 04 дүгээр сарын 04-ны өдрийн 75 дугаар зарлигаар дахин засаг захиргааны нэгжийн хилийн цэсийг шинэчлэн баталсан.
Үүнээс хойш улсын хэмжээнд шинээр сум нэмж байгуулах, татан буулгах зэрэг засаг захиргааны нэгжийн хилийн цэсийн өөрчлөлтүүдийг тухай бүрд нь Ардын Их Хурлын Тэргүүлэгчдийн зарлиг, Улсын Их Хурлын тогтоолоор баталсан бөгөөд Ардын Их Хурлын Тэргүүлэгчдийн зарлиг 13 удаа, Улсын их хурлын тогтоол 15 удаа гарсан байна.
2012 оноос 2015 оны хооронд засаг захиргаа, нутаг дэвсгэрийн нэгжийн хилийн цэсийг хүчин төгөлдөр мөрдөгдөж буй Ардын Их Хурлын Тэргүүлэгчдийн зарлиг, Улсын Их Хурлын тогтоолын дагуу М1:100000-ны масштабтай байр зүйн зурагт суурилан солбицолжуулсан бөгөөд тус хилийн цэсийг Газрын нэгдмэл сангийн удирдлагын нэгдсэн цахим системд бүртгэн газрын асуудал эрхэлсэн төрийн захиргааны байгууллагууд, бусад салбарууд өдөр тутмын үйл ажиллагаандаа ашиглаж байна.
Зураг 1.М1:100000-ны масштабтай байр зүйн зурагт суурилан солбицолжуулсан засаг захиргаа, нутаг дэвсгэрийн нэгжийн хилийн цэсийн зураг |